Trang chủ Tin Học Lớp 7 Câu 3: Em hãy vẽ hình minh họa thực hiện...

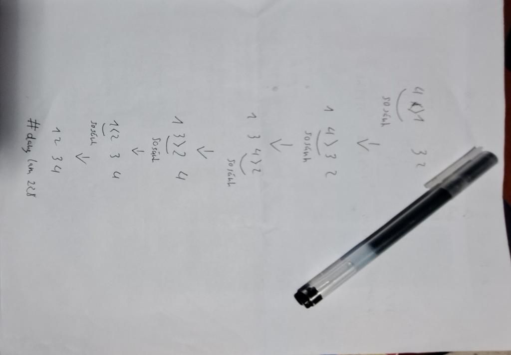
Câu 3: Em hãy vẽ hình minh họa thực hiện thuật toán sắp xếp nổi bọt để sắp xếp 4 số sau theo thứ tự tăng dần. 4 1 3 2 câu hỏi 7014237

Câu hỏi :

Câu 3: Em hãy vẽ hình minh họa thực hiện thuật toán sắp xếp nổi bọt để sắp xếp 4 số sau theo thứ tự tăng dần. 4 1 3 2

Lời giải 1 :

danglam228#danglam228

image

Bạn có biết?

Tin học là một ngành khoa học chuyên nghiên cứu quá trình tự động hóa việc tổ chức, lưu trữ, xử lý và truyền dẫn thông tin của một hệ thống máy tính cụ thể hoặc trừu tượng. Tin học bao hàm tất cả các nghiên cứu và kỹ thuật có liên quan đến việc mô phỏng, biến đổi và tái tạo thông tin. Hãy tận dụng sức mạnh của tin học để giải quyết các vấn đề và sáng tạo ra những giải pháp mới!

Nguồn :

Wikipedia - Bách khoa toàn thư

Tâm sự lớp 7

Lớp 7 - Năm thứ hai ở cấp trung học cơ sở, một chuỗi quay mới lại đến và chúng ta vẫn bước tiếp trên con đường học sinh. Học tập vẫn là nhiệm vụ chính, hãy luôn kiên trì và không ngừng cố gắng!

Nguồn :

sưu tập

Liên hệ hợp tác hoặc quảng cáo: gmail

Điều khoản dịch vụ

Copyright © 2021 HOCTAPSGK