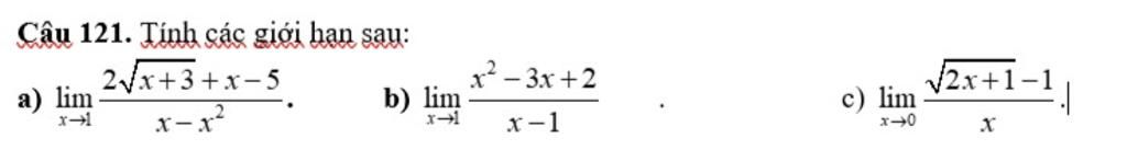
Trang chủ Toán Học Lớp 11 Câu 121. Tính các giới hạn sau: 2√√x+3+x-5 x-x² a)...

Câu 121. Tính các giới hạn sau: 2√√x+3+x-5 x-x² a) lim x-1 b) lim x²-3x+2 x-1 c) lim x-0 √2x+1

Câu hỏi :

cứu vớiiiiiiiiiiiiiiiiiiiiiiiiiii

image

Câu 121. Tính các giới hạn sau: 2√√x+3+x-5 x-x² a) lim x-1 b) lim x²-3x+2 x-1 c) lim x-0 √2x+1

Lời giải 1 :

`a. lim_{x->1}{2\sqrt{x+3}+x-5}/{x-x^2}`
`= lim_{x->1}{4(x+3)-(x-5)^2}/{x(1-x)(2\sqrt{x+3}-x+5)}`
`= lim_{x->1}{4x+12-(x^2-10x+25)}/{x(1-x)(2\sqrt{x+3}-x+5)}`
`= lim_{x->1}{-x^2+14x-13}/{x(1-x)(2\sqrt{x+3}-x+5)}`
`= lim_{x->1}{-(x-13)(x-1)}/{-x(x-1)(2\sqrt{x+3}-x+5)}`
`= lim_{x->1}{-(x-13)}/{-x(2\sqrt{x+3}-x+5)}`
`= {-(1-13)}/{-1.(2\sqrt{1+3}-1+5)}`
`= -3/2`

`b. lim_{x->1}{x^2-3x+2}/{x-1}`
`= lim_{x->1}{(x-2)(x-1)}/{x-1}`
`= lim_{x->1}(x-2)`
`= 1-2`

`= -1`

`c. lim_{x->0}{\sqrt{2x+1}-1}/{x}`
`= lim_{x->0}{2x+1-1^2}/{x(\sqrt{2x+1}+1)}`
`= lim_{x->0}{2x}/{x(\sqrt{2x+1}+1)}`
`= lim_{x->0}{2}/{\sqrt{2x+1}+1}`
`= {2}/{\sqrt{2.0+1}+1}`
`= 1`

Lời giải 2 :

Đáp án:

 

Giải thích các bước giải:

 

image

Bạn có biết?

Toán học là môn khoa học nghiên cứu về các số, cấu trúc, không gian và các phép biến đổi. Nói một cách khác, người ta cho rằng đó là môn học về "hình và số". Theo quan điểm chính thống, toán học là môn học nghiên cứu về các cấu trúc trừu tượng định nghĩa từ các tiên đề, bằng cách sử dụng luận lý học (lôgic) và ký hiệu toán học. Do khả năng ứng dụng rộng rãi trong nhiều khoa học, toán học được mệnh danh là "ngôn ngữ của vũ trụ". Hãy kiên trì và không ngừng nỗ lực trong việc chinh phục những con số và công thức này!

Nguồn :

Wikipedia - Bách khoa toàn thư

Tâm sự lớp 11

Lớp 11 - Năm thứ hai ở cấp trung học phổ thông, gần đến năm cuối cấp nên học tập là nhiệm vụ quan trọng nhất. Nghe nhiều đến định hướng tương lai và học đại học có thể gây hoang mang, nhưng hãy tự tin và tìm dần điều mà mình muốn là trong tương lai!

Nguồn :

sưu tập

Liên hệ hợp tác hoặc quảng cáo: gmail

Điều khoản dịch vụ

Copyright © 2021 HOCTAPSGK