Trang chủ Tin Học Lớp 9 help..........................................................Cho dãy số dãy số nguyên n phần tử A1,...

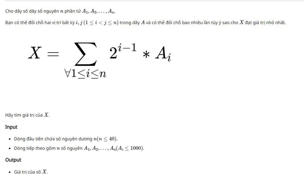
help..........................................................Cho dãy số dãy số nguyên n phần tử A1, A2, ..., An. Bạn có thể đối chỗ hai vị trí bất kỳ i, j(1

Câu hỏi :

help..........................................................

image

help..........................................................Cho dãy số dãy số nguyên n phần tử A1, A2, ..., An. Bạn có thể đối chỗ hai vị trí bất kỳ i, j(1<i

Lời giải 1 :

#include <bits/stdc++.h>

using namespace std;

int main()
{
    long long n, a[10005];
    cin >> n;
    for (int i = 1; i <= n; i++)
    {
        cin >> a[i];
    }
    sort(a + 1, a + n + 1, greater<long long>());
    long long res = 0;
    for (int i = 1; i <= n; i++)
    {
        res += pow(2, i - 1) * a[i];
    }
    cout << res;
    return 0;
}

Lời giải 2 :

`\color{red}{\text{@hoangduy67}}`

#include <bits/stdc++.h>
#define int long long
using namespace std;
int a[111111];
int32_t main()
{
    int n;
    cin >> n;
    for (int i = 1; i <= n; i++) cin >> a[i];
    sort (a + 1, a + 1 + n, greater<int>());
    int x = 0;
    for (int i = 1; i <= n; i++)
    {
        x += pow(2, i - 1) * a[i];
    }
    cout << x;
}

Bạn có biết?

Tin học là một ngành khoa học chuyên nghiên cứu quá trình tự động hóa việc tổ chức, lưu trữ, xử lý và truyền dẫn thông tin của một hệ thống máy tính cụ thể hoặc trừu tượng. Tin học bao hàm tất cả các nghiên cứu và kỹ thuật có liên quan đến việc mô phỏng, biến đổi và tái tạo thông tin. Hãy tận dụng sức mạnh của tin học để giải quyết các vấn đề và sáng tạo ra những giải pháp mới!

Nguồn :

Wikipedia - Bách khoa toàn thư

Tâm sự lớp 9

Lớp 9 - Là năm cuối ở cấp trung học cơ sở, chúng ta sắp phải bước vào một kỳ thi căng thẳng và sắp chia tay bạn bè, thầy cô. Áp lực từ kỳ vọng của phụ huynh và tương lai lên cấp 3 thật là lớn, nhưng hãy tin vào bản thân và giữ vững sự tự tin!

Nguồn :

sưu tập

Liên hệ hợp tác hoặc quảng cáo: gmail

Điều khoản dịch vụ

Copyright © 2021 HOCTAPSGK