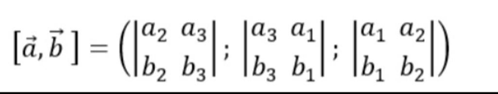
Trang chủ Nhạc Họa Lớp 9 Calli: Latex NL: ai biết latex bảng này không ạ:<...

Calli: Latex NL: ai biết latex bảng này không ạ:< xin vớiа1 նշ [a,b] = ( 82 83 | | 83 21 ; | 81 8321) b₂ b3 b₁ b₁ b₂

Câu hỏi :

Calli: Latex

NL: ai biết latex bảng này không ạ:< xin với

image

Calli: Latex NL: ai biết latex bảng này không ạ:&lt; xin vớiа1 նշ [a,b] = ( 82 83 | | 83 21 ; | 81 8321) b₂ b3 b₁ b₁ b₂

Lời giải 1 :

`@`Peii.

image
image

Lời giải 2 :

np

 

image
image

Bạn có biết?

Hãy học thuộc bài trước khi ngủ. Các nhà khoa học đã chứng minh đây là phương pháp học rất hiệu quả. Mỗi ngày trước khi ngủ, bạn hãy ôn lại bài đã học một lần sau đó, nhắm mắt lại và đọc nhẩm lại một lần. Điều này sẽ giúp bạn tiếp thu và ghi nhớ tất cả những thông tin một cách lâu nhất. Chúc bạn học tốt!

Nguồn :

timviec365.vn

Tâm sự lớp 9

Lớp 9 - Là năm cuối ở cấp trung học cơ sở, chúng ta sắp phải bước vào một kỳ thi căng thẳng và sắp chia tay bạn bè, thầy cô. Áp lực từ kỳ vọng của phụ huynh và tương lai lên cấp 3 thật là lớn, nhưng hãy tin vào bản thân và giữ vững sự tự tin!

Nguồn :

sưu tập

Liên hệ hợp tác hoặc quảng cáo: gmail

Điều khoản dịch vụ

Copyright © 2021 HOCTAPSGK