Trang chủ Hóa Học Lớp 9 `-` Cho hỗn hợp `A` gồm `Mg;Fe` có tỉ lệ...

`-` Cho hỗn hợp `A` gồm `Mg;Fe` có tỉ lệ khối lượng là `3:5.` Hỗn hợp `B` gồm `FeO;Fe_2O_3;Fe_3O_4` biết `n_(FeO) = n_(Fe_2O_3).` `-` Cho hỗn hợp `B` vào dung

Câu hỏi :

`-` Cho hỗn hợp `A` gồm `Mg;Fe` có tỉ lệ khối lượng là `3:5.` Hỗn hợp `B` gồm `FeO;Fe_2O_3;Fe_3O_4` biết `n_(FeO) = n_(Fe_2O_3).` `-` Cho hỗn hợp `B` vào dung dịch `HCl (` dư `)` thu được dung dịch `C,` cho `A` vào dung dịch `C` thu được dung dịch `D` và `V` lít khí `H_2,` cho dung dịch `NaOH (` dư `)` vào dung dịch `D` thu được kết tủa`,` nung kết tủa trong không khí đến khối lượng không đổi thu được chất rắn `E,` biết `V` lít khí `H_2` thu được vừa đủ để khử chất rắn `E.` Khi gộp `A;B` lại thì hãy tính `%Mg;%Fe`

Lời giải 1 :

Đáp án:

 

Giải thích các bước giải:

 `n_{Mg}/n_{Fe}=(3m) /(24) :(5m) /(56)`

`=7:5`

Đặt `n_{Mg}=7;n_{Fe}=5(mol) `

Do `n_{Fe_2O_3}=n_{FeO}`

`=>` quy hỗn hợp B về `Fe_3O_4` có số mol là a( mol) 

`Fe_3O_4+8HCl->FeCl_2+2FeCl_3+4H_2O`

`Mg+2HCl->MgCl_2+H_2`

`Fe+2HCl->FeCl_2+H_2`

`Mg+2FeCl_3->MgCl_2+2FeCl_2`

`MgCl_2+2NaOH->Mg(OH) _2+2NaCl`

`FeCl_2+2NaOH->Fe(OH) _2+2NaCl`

$4Fe(OH) _2+O_2\xrightarrow{t°}2Fe_2O_3+4H_2O$

$Mg(OH) _2\xrightarrow{t°} MgO+H_2O$

$Fe_2O_3+3H_2\xrightarrow{t°}2Fe+3H_2O$

`n_{Fe_2O_3}=(3a+5)/2=1, 5a+2,5(mol)`

Theo PTHH:

`n_{H_2}=3n_{Fe_2O_3}=4, 5a+7, 5(mol) `

`n_{FeCl_3}=2n_{Fe_3O_4}=2a(mol) `

`=> n_{Mg pứ}=a(mol) `

`=> n_{H_2}=7-a+5=12-a(mol) `

`=> 4,5a+7, 5=12-a`

`=> a=9/11(mol) `

`=> m_A+m_B=7.24+5.56+232.(9) /(11) ~~637, 82g`

`=> %m_{Mg}=(7.24) /(637,82).100%~~26,34%`

`%m_{Fe}~~43,9%`

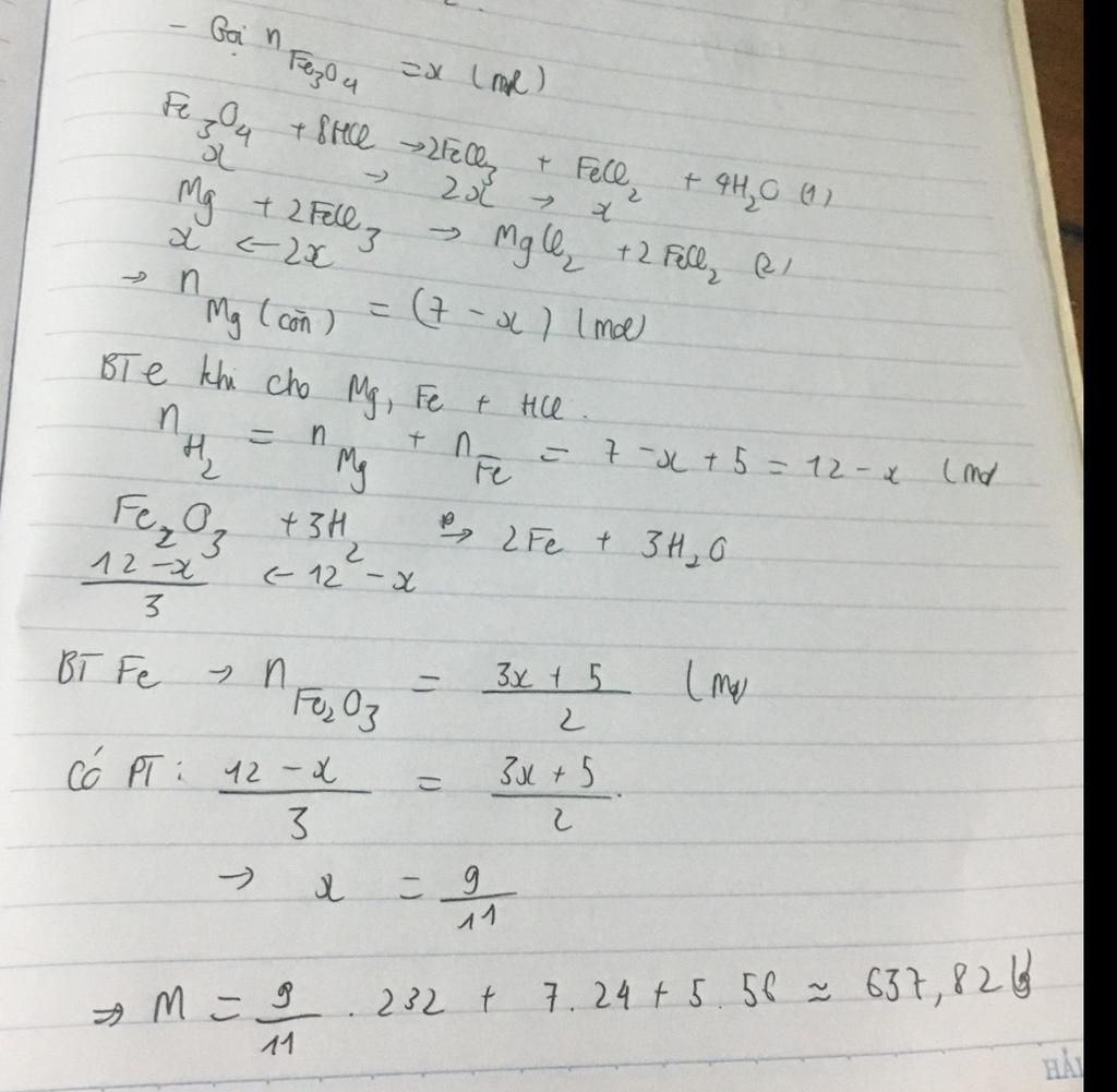
Lời giải 2 :

Tham Khảo :

image
image
image

Bạn có biết?

Hóa học là ngành nghiên cứu về thành phần, cấu trúc, tính chất, và sự thay đổi của vật chất. Hóa học nói về các nguyên tố, hợp chất, nguyên tử, phân tử, và các phản ứng hóa học xảy ra giữa những thành phần đó. Hóa học đôi khi được gọi là "khoa học trung tâm" vì nó là cầu nối các ngành khoa học tự nhiên khác như vật lý học, địa chất học và sinh học. Hãy đam mê và khám phá thế giới của các chất hóa học và phản ứng!

Nguồn :

Wikipedia - Bách khoa toàn thư

Tâm sự lớp 9

Lớp 9 - Là năm cuối ở cấp trung học cơ sở, chúng ta sắp phải bước vào một kỳ thi căng thẳng và sắp chia tay bạn bè, thầy cô. Áp lực từ kỳ vọng của phụ huynh và tương lai lên cấp 3 thật là lớn, nhưng hãy tin vào bản thân và giữ vững sự tự tin!

Nguồn :

sưu tập

Liên hệ hợp tác hoặc quảng cáo: gmail

Điều khoản dịch vụ

Copyright © 2021 HOCTAPSGK