Trang chủ Toán Học Lớp 9 3 1 √x-3 Bài 11: Cho biểu thức A =...

3 1 √x-3 Bài 11: Cho biểu thức A = với x20, x √x+1 √x-1 x-1 a) Rút gọn biểu thức A. b) Tính giá trị của biểu thức 4 khi x=3–2V2. Bài 12: Cho biểu thức A =

Câu hỏi :

Mai mih nộp rồi ai giúp với ạ

image

3 1 √x-3 Bài 11: Cho biểu thức A = với x20, x √x+1 √x-1 x-1 a) Rút gọn biểu thức A. b) Tính giá trị của biểu thức 4 khi x=3–2V2. Bài 12: Cho biểu thức A =

Lời giải 1 :

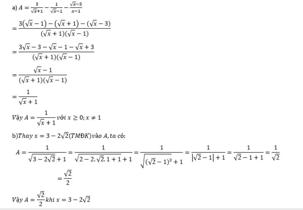
Mình viết trên word nên chỉ làm đc 1 bài 

 

image

Lời giải 2 :

Đáp án:

Bài `11:`

`a) A = 3/(sqrt{x} + 1) - 1/(sqrt{x} - 1) - (sqrt{x}-3)/(x-1)`

ĐK : `x \ge 0 ; x \ne 1`

`x - 1 = (sqrt{x})^2 - 1^2 = (sqrt{x}-1)(sqrt{x}+1)`

` = 3/(sqrt{x}+1) - 1/(sqrt{x}-1) - (sqrt{x}-3)/((sqrt{x}+1)(sqrt{x}-1))`

` = ( 3(sqrt{x} - 1) - (sqrt{x} + 1) - (sqrt{x}-3))/((sqrt{x}+1)(sqrt{x}-1))`

` = (3sqrt{x}-3-sqrt{x}-1-sqrt{x}+3)/((sqrt{x}+1)(sqrt{x}-1))`

 ` = (sqrt{x}-1)/((sqrt{x}+1)(sqrt{x}-1))`

  ` = 1/(sqrt{x}+1)`

Vậy `A = 1/(sqrt{x}+1)` với `x \ge 0 ; x \ne 1`

`b)x = 3 - 2sqrt{2} = 2 - 2sqrt{2} + 1 = (sqrt{2})^2 - 2 . sqrt{2} . 1 + 1^2 = (sqrt{2} - 1)^2`

`=> sqrt{x} = sqrt{2} - 1` thay vào biểu thức `A` , ta được:

`A = 1/(sqrt{2} - 1 + 1) = 1/(sqrt{2}) = (sqrt{2})/2`

Vậy `A = (sqrt{2})/2` tại `x = 3 - 2sqrt{2}`

Bài `12:`

`a) A = ( (sqrt{x}-1)/(3sqrt{x} - 1) - 1/(3sqrt{x}+1) + (8sqrt{x})/(9x-1) ) : ( 1 - (3sqrt{x}-2)/(3sqrt{x}+1) )`

Điều kiện : `x \ge 0 ; x \ne 1/9`

 `9x - 1 = (3sqrt{x})^2 - 1^2 = (3sqrt{x}-1)(3sqrt{x}+1)`

     ` = ( (sqrt{x}-1)/(3sqrt{x}-1) - 1/(3sqrt{x}+1) + (8sqrt{x})/((3sqrt{x}-1)(3sqrt{x}+1)) ) : (3sqrt{x} + 1 - (3sqrt{x}-2))/(3sqrt{x} + 1)`

     ` = ( (sqrt{x} - 1)(3sqrt{x}+ 1) - (3sqrt{x} - 1) + 8sqrt{x})/((3sqrt{x}-1)(3sqrt{x}+1)) : (3sqrt{x} +1 - 3sqrt{x} + 2)/(3sqrt{x} + 1)`

     ` = (3x - 3sqrt{x} + sqrt{x} - 1 - 3sqrt{x} + 1 + 8sqrt{x})/((3sqrt{x}-1)(3sqrt{x} +1)) . (3sqrt{x} + 1)/3`

     ` = (3x + 3sqrt{x})/(3(3sqrt{x}+1))`

     ` = (x + sqrt{x})/(3sqrt{x} + 1)`

Vậy `A = (x + sqrt{x})/(3sqrt{x} + 1)` với `x \ge 0 ; x \ne 1/9`

`b) A = 6/5`

`=> (x + sqrt{x})/(3sqrt{x} + 1) = 6/5`

`=> 5(x + sqrt{x}) = 6(3sqrt{x} + 1)`

`=> 5x + 5sqrt{x} = 18sqrt{x} + 6`

`=> 5x + 5sqrt{x} - 18sqrt{x} - 6 = 0`

`=> 5x - 13sqrt{x} - 6 = 0`

`=> 5x - 15sqrt{x} + 2sqrt{x} - 6 = 0`

`=> 5sqrt{x}(sqrt{x} - 3) + 2(sqrt{x} - 3) = 0`

`=> (5sqrt{x} + 2)(sqrt{x} - 3) = 0`

Vì `5sqrt{x} + 2 > 0` với mọi `x \ge 0`

`=> sqrt{x} - 3 = 0 => x = 9` (thỏa mãn)

Vậy `A = 6/5` khi `x = 9`

 

Bạn có biết?

Toán học là môn khoa học nghiên cứu về các số, cấu trúc, không gian và các phép biến đổi. Nói một cách khác, người ta cho rằng đó là môn học về "hình và số". Theo quan điểm chính thống, toán học là môn học nghiên cứu về các cấu trúc trừu tượng định nghĩa từ các tiên đề, bằng cách sử dụng luận lý học (lôgic) và ký hiệu toán học. Do khả năng ứng dụng rộng rãi trong nhiều khoa học, toán học được mệnh danh là "ngôn ngữ của vũ trụ". Hãy kiên trì và không ngừng nỗ lực trong việc chinh phục những con số và công thức này!

Nguồn :

Wikipedia - Bách khoa toàn thư

Tâm sự lớp 9

Lớp 9 - Là năm cuối ở cấp trung học cơ sở, chúng ta sắp phải bước vào một kỳ thi căng thẳng và sắp chia tay bạn bè, thầy cô. Áp lực từ kỳ vọng của phụ huynh và tương lai lên cấp 3 thật là lớn, nhưng hãy tin vào bản thân và giữ vững sự tự tin!

Nguồn :

sưu tập

Liên hệ hợp tác hoặc quảng cáo: gmail

Điều khoản dịch vụ

Copyright © 2021 HOCTAPSGK