Trang chủ Hóa Học Lớp 10 Chia 36,44g hh M gồm FeO, Fe3O4, CuO, ZnO, Fe2O3...

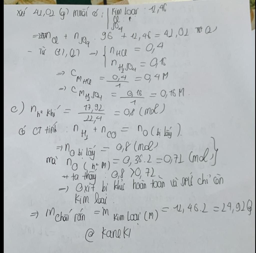
Chia 36,44g hh M gồm FeO, Fe3O4, CuO, ZnO, Fe2O3 thành 2 phần bằng nhau: - Phần 1: Tác dụng hết với axit HCl thu được 38,02g muối khan. - Phần 2: Tác dụng vừa

Câu hỏi :

Chia 36,44g hh M gồm FeO, Fe3O4, CuO, ZnO, Fe2O3 thành 2 phần bằng nhau:

- Phần 1: Tác dụng hết với axit HCl thu được 38,02g muối khan.

- Phần 2: Tác dụng vừa đủ với 1l dd chứa 2 axit HCl và H2SO4 loãng thu được 42,02g muối khan

a. Viết các PTHH của các phản ứng xảy ra.

b. Tíng nồng độ mol của mỗi axit trong X.

c. Nếu cho 17,92l hh khí gồm CO và H2 đi qua 36,44g M nung nóng cho đến khi phản ứng xảy ra hoàn toàn thì sau khi phản ứng kết thúc thủ được bao nhiêu gam sản phẩm rắn?

Lời giải 1 :

@Kaneki

 

image
image

Lời giải 2 :

CHÚC BẠN HỌC TỐT

 

image

Bạn có biết?

Hóa học là ngành nghiên cứu về thành phần, cấu trúc, tính chất, và sự thay đổi của vật chất. Hóa học nói về các nguyên tố, hợp chất, nguyên tử, phân tử, và các phản ứng hóa học xảy ra giữa những thành phần đó. Hóa học đôi khi được gọi là "khoa học trung tâm" vì nó là cầu nối các ngành khoa học tự nhiên khác như vật lý học, địa chất học và sinh học. Hãy đam mê và khám phá thế giới của các chất hóa học và phản ứng!

Nguồn :

Wikipedia - Bách khoa toàn thư

Tâm sự lớp 10

Lớp 10 - Năm đầu tiên ở cấp trung học phổ thông, chúng ta sẽ có nhiều bạn bè mới đến từ những nơi khác nhau. Ngôi trường mới, xa nhà hơn, mở ra một thế giới mới với nhiều điều thú vị. Hãy mở lòng đón nhận và tận hưởng những trải nghiệm mới!

Nguồn :

sưu tập

Liên hệ hợp tác hoặc quảng cáo: gmail

Điều khoản dịch vụ

Copyright © 2021 HOCTAPSGK