Trang chủ Vật Lý Lớp 11 Giúp em câu 1 với ạ  em cảm ơnnn dhjdisjdjdbsisnsjsbshT/2...

Giúp em câu 1 với ạ  em cảm ơnnn dhjdisjdjdbsisnsjsbshT/2 AN DUNG 1. Hãy xác định: biên độ, tần số góc, pha ban đầu, pha dao động tại thời điểm t=0,5s nếu: Một

Câu hỏi :

Giúp em câu 1 với ạ 

em cảm ơnnn dhjdisjdjdbsisnsjsbsh

image

Giúp em câu 1 với ạ  em cảm ơnnn dhjdisjdjdbsisnsjsbshT/2 AN DUNG 1. Hãy xác định: biên độ, tần số góc, pha ban đầu, pha dao động tại thời điểm t=0,5s nếu: Một

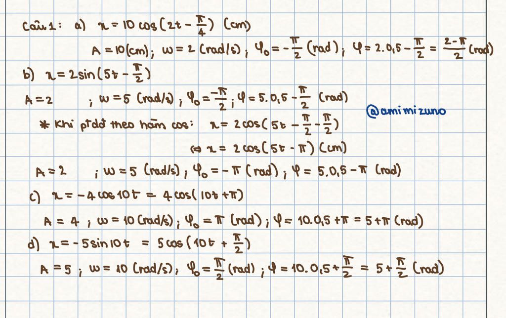
Lời giải 1 :

Đáp án:

 

Giải thích các bước giải:

 

image

Bạn có biết?

Vật lý học là môn khoa học tự nhiên tập trung vào sự nghiên cứu vật chất và chuyển động của nó trong không gian và thời gian, cùng với những khái niệm liên quan như năng lượng và lực. Vật lý học là một trong những bộ môn khoa học lâu đời nhất, với mục đích tìm hiểu sự vận động của vũ trụ. Hãy khám phá và hiểu rõ những quy luật tự nhiên xung quanh chúng ta!

Nguồn :

Wikipedia - Bách khoa toàn thư

Tâm sự lớp 11

Lớp 11 - Năm thứ hai ở cấp trung học phổ thông, gần đến năm cuối cấp nên học tập là nhiệm vụ quan trọng nhất. Nghe nhiều đến định hướng tương lai và học đại học có thể gây hoang mang, nhưng hãy tự tin và tìm dần điều mà mình muốn là trong tương lai!

Nguồn :

sưu tập

Liên hệ hợp tác hoặc quảng cáo: gmail

Điều khoản dịch vụ

Copyright © 2021 HOCTAPSGK