Trang chủ Hóa Học Lớp 8 Hòa tan 3,25 gam kim loại Zn vào trong dung...

Hòa tan 3,25 gam kim loại Zn vào trong dung dịch HCl dư thu được muối ZnCl2 và khí hiđro. a) Viết phương trình hóa học của phản ứng. b) Tính thể tích khí hiđro

Câu hỏi :

Hòa tan 3,25 gam kim loại Zn vào trong dung dịch HCl dư thu được muối ZnCl2 và khí hiđro. a) Viết phương trình hóa học của phản ứng. b) Tính thể tích khí hiđro (đktc) thu được sau phản ứng trên.

Lời giải 1 :

Đáp án:

 nZn=3,25/65=0,05(mol) (mà số mol có thể để xuống dưới tính cũng được nhưng mà nhưng mà với những bài dạng này vẫn là tính trước thì tiện hơn nhiều :) )

a) PTHH: Zn+2HCl->ZnCl2+H2

             (0,05)                    ->0,05    (mol)

b) VH2=22,4xn=22,4x0,05=1,12(l)

nhớ cho mình 5 sao và bình chọn câu trả lời hay nhất nha ^-^

Giải thích các bước giải:

 

Thảo luận

Lời giải 2 :

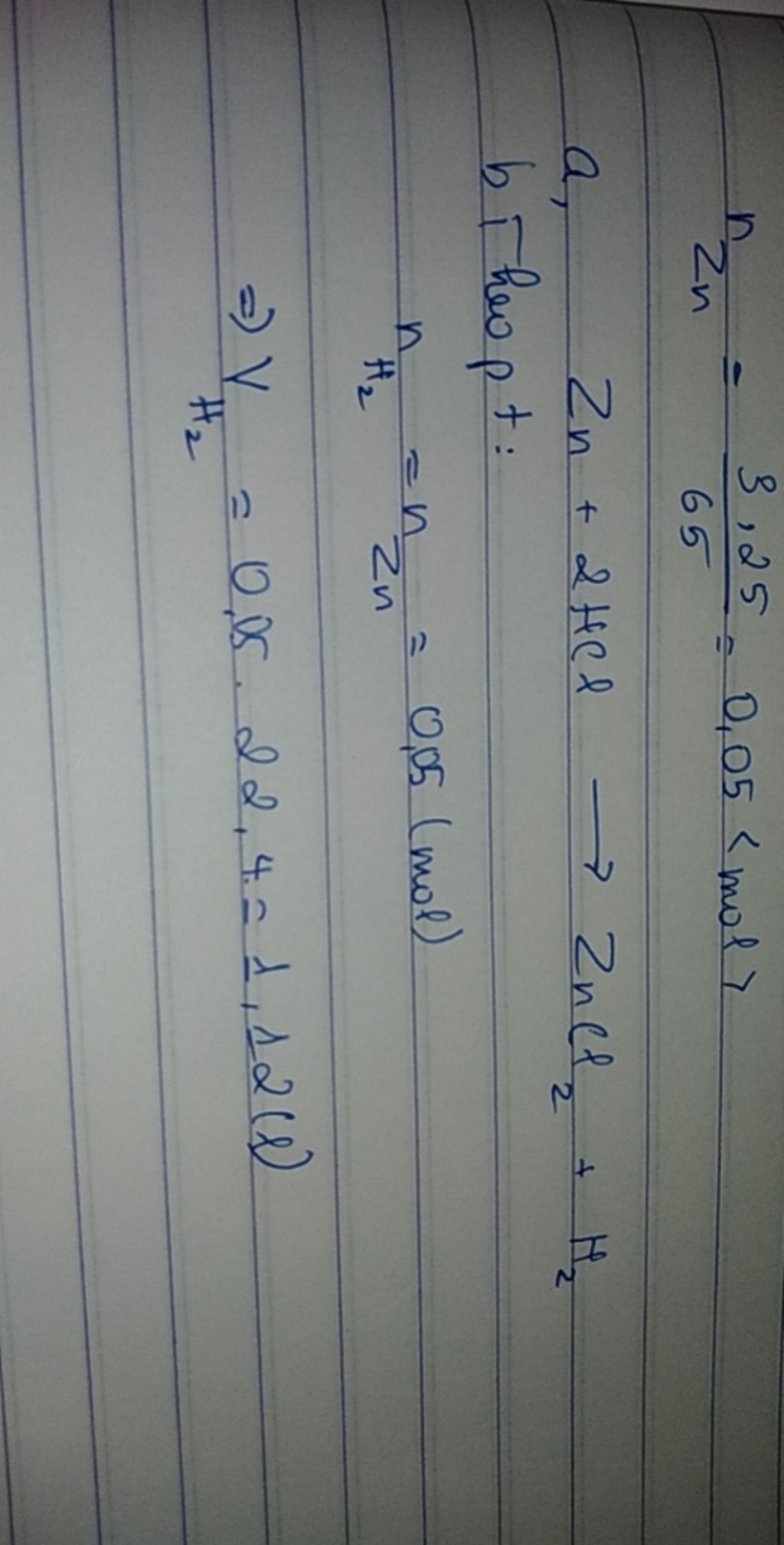
Đáp án:

 

Giải thích các bước giải:

 

image

Bạn có biết?

Hóa học, một nhánh của khoa học tự nhiên, là ngành nghiên cứu về thành phần, cấu trúc, tính chất, và sự thay đổi của vật chất.Hóa học nói về các nguyên tố, hợp chất, nguyên tử, phân tử, và các phản ứng hóa học xảy ra giữa những thành phần đó.Hóa học đôi khi được gọi là "khoa học trung tâm" vì nó là cầu nối các ngành khoa học tự nhiên khác như vật lý học, địa chất học và sinh học.

Nguồn : Wikipedia - Bách khoa toàn thư

Tâm sự 8

Lớp 8 - Năm thứ ba ở cấp trung học cơ sở, học tập bắt đầu nặng dần, sang năm lại là năm cuối cấp áp lực lớn dần nhưng các em vẫn phải chú ý sức khỏe nhé!

Nguồn : ADMIN :))

Liên hệ hợp tác hoặc quảng cáo: gmail

Điều khoản dịch vụ

Copyright © 2021 HOCTAPSGK