Trang chủ Toán Học Lớp 9 một người đi từ tỉnh A đến tỉnh B cách...

một người đi từ tỉnh A đến tỉnh B cách nhau 78 km/h . sau đó 1 giờ người thứ 2 đi từ tỉnh b đến tỉnh A 2 người gặp nhau tại điểm C cách B 36 km tính thời gian

Câu hỏi :

một người đi từ tỉnh A đến tỉnh B cách nhau 78 km/h . sau đó 1 giờ người thứ 2 đi từ tỉnh b đến tỉnh A 2 người gặp nhau tại điểm C cách B 36 km tính thời gian mỗi người đi từ lúc khởi hành đến lúc gặp nhau biết vận tốc người thứ 2 lớn hơn vận tốc người thứ nhất 4km/h

Lời giải 1 :

gọi vận tốc của người thứ 2 là m (m>4)(Km/h)

vận tốc của người thứ nhất là m-4(km/h)

quãng đường mà người thứ nhất đã đi được là 78-36=42 (km)

vì sau 1 h người thứ 2 đi từ B về A , 2 người gặp nhau tai c cách B 36 km nên ta có pt

42m11=36m42m−1−1=36mm1=18(tmdk);m2=8(ktmdk)m1=18(tmdk);m2=−8(ktmdk)

vậy thời gian người thứ nhất là 3 giờ

tg người thứ hai là 2 giờ

Thảo luận

-- bạn có thể viết kaij phương trình không
-- tôi ngu tin học lắm

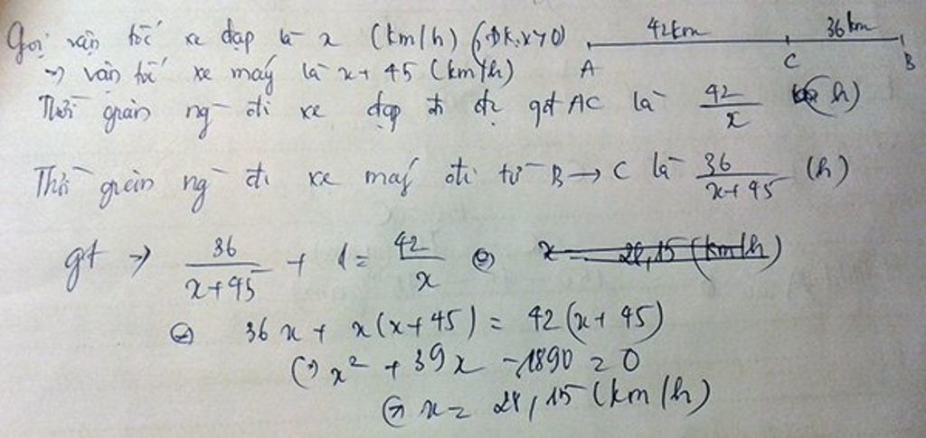
Lời giải 2 :

Đáp án:

 

Giải thích các bước giải:

image

Bạn có biết?

Toán học là môn khoa học nghiên cứu về các số, cấu trúc, không gian và các phép biến đổi. Nói một cách khác, người ta cho rằng đó là môn học về "hình và số". Theo quan điểm chính thống neonics, nó là môn học nghiên cứu về các cấu trúc trừu tượng định nghĩa từ các tiên đề, bằng cách sử dụng luận lý học (lôgic) và ký hiệu toán học. Các quan điểm khác của nó được miêu tả trong triết học toán. Do khả năng ứng dụng rộng rãi trong nhiều khoa học, toán học được mệnh danh là "ngôn ngữ của vũ trụ".

Nguồn : Wikipedia - Bách khoa toàn thư

Tâm sự 9

Lớp 9 - Là năm cuối ở cấp trung học cơ sở, sắp phải bước vào một kì thi căng thẳng và sắp chia tay bạn bè, thầy cô và cả kì vọng của phụ huynh ngày càng lớn mang tên "Lên cấp 3". Thật là áp lực nhưng các em hãy cứ tự tin vào bản thân là sẻ vượt qua nhé!

Nguồn : ADMIN :))

Liên hệ hợp tác hoặc quảng cáo: gmail

Điều khoản dịch vụ

Copyright © 2021 HOCTAPSGK