Trang chủ Toán Học Lớp 8 Một mảnh vườn hình chữ nhật có chu vi là...

Một mảnh vườn hình chữ nhật có chu vi là 34m . Nếu tăng chiều dài 3m và giảm chiều rộng 1m thì diện tích tăng 8m2 . Hãy tính chiều dài và chiều rộng của mảnh v

Câu hỏi :

Một mảnh vườn hình chữ nhật có chu vi là 34m . Nếu tăng chiều dài 3m và giảm chiều rộng 1m thì diện tích tăng 8m2 . Hãy tính chiều dài và chiều rộng của mảnh vườn?

Lời giải 1 :

Đáp án:

chiều dài : 12m

chiều rộng : 5m

Giải thích các bước giải:

Gọi chiều dài và chiều rộng là x,y ( m ) , ( x  > y > 0 )
Chu vi là : 2 ( x + y ) = 24 ( m )
Diện tích trước khi tăng là :
xy ( m^2 )
Diện tích sau khi tăng là :
( x + 3 ) ( x + 2 ) ( m^2 )
Theo bài ra ta có ; 2 ( x + y ) = 34 và ( x + 3 ) ( y + 2 ) - xy = 45
<=> 2x + 2y = 34 và 2x + 3y = 39
<=> x + y = 17 và y = 5
Suy ra : chiều dài : 12m và chiều rộng : 5m

Thảo luận

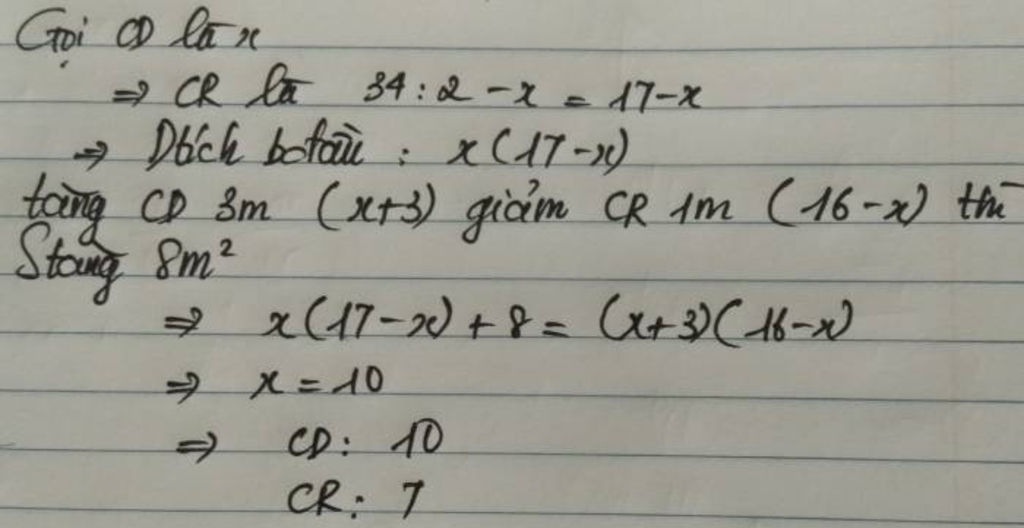
Lời giải 2 :

image

Bạn có biết?

Toán học là môn khoa học nghiên cứu về các số, cấu trúc, không gian và các phép biến đổi. Nói một cách khác, người ta cho rằng đó là môn học về "hình và số". Theo quan điểm chính thống neonics, nó là môn học nghiên cứu về các cấu trúc trừu tượng định nghĩa từ các tiên đề, bằng cách sử dụng luận lý học (lôgic) và ký hiệu toán học. Các quan điểm khác của nó được miêu tả trong triết học toán. Do khả năng ứng dụng rộng rãi trong nhiều khoa học, toán học được mệnh danh là "ngôn ngữ của vũ trụ".

Nguồn : Wikipedia - Bách khoa toàn thư

Tâm sự 8

Lớp 8 - Năm thứ ba ở cấp trung học cơ sở, học tập bắt đầu nặng dần, sang năm lại là năm cuối cấp áp lực lớn dần nhưng các em vẫn phải chú ý sức khỏe nhé!

Nguồn : ADMIN :))

Liên hệ hợp tác hoặc quảng cáo: gmail

Điều khoản dịch vụ

Copyright © 2021 HOCTAPSGK