Trang chủ Toán Học Lớp 8 Bài 1: Chứng minh các biểu thức sau ko phụ...

Bài 1: Chứng minh các biểu thức sau ko phụ thuộc vào x. a,2(x^3+y^3)-3(x^2+y^2) với x+y=1 b,(x+5)^2+(x-5)^2/x^2+25 c,(2x+5)^2+(5x-2)^2/x^2+1

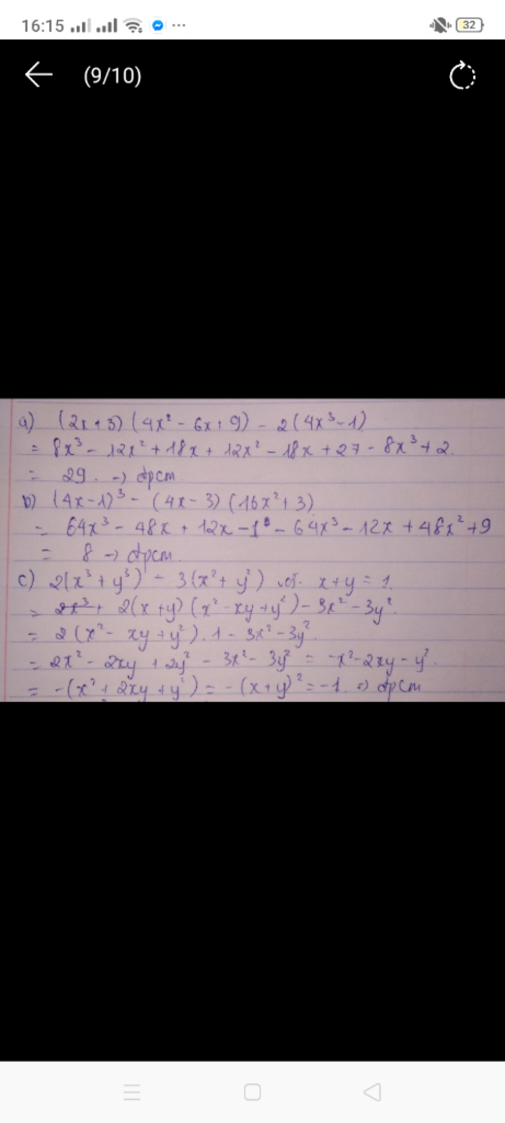
Câu hỏi :

Bài 1: Chứng minh các biểu thức sau ko phụ thuộc vào x. a,2(x^3+y^3)-3(x^2+y^2) với x+y=1 b,(x+5)^2+(x-5)^2/x^2+25 c,(2x+5)^2+(5x-2)^2/x^2+1

Lời giải 1 :

Đáp án:

 

Giải thích các bước giải:

 Chúc bạn học giỏi

image
image

Thảo luận

-- Vậy cậu có thể cho mình 5sao và câu trả lời hay nhất được ko.
-- Ok
-- Thanhs nhưng câu trả lời hay nhất ko được vậy bạn
-- Bạn cứ làm bài tập theo suy nghĩ của mình đi
-- Ờm...phải chờ 1 bn nữa trả lời đã bn ạ.
-- À ra là vậy
-- Vì phải có ít nhất 2 người trở lên mới đc.
-- Ko sao

Lời giải 2 :

Chào bạn, bạn tham khảo nhé!

------------

a) 2(x^3 + y^3) - 3(x^2 + y^2) với x + y = 1

=  2(x + y)(x^2 - xy + y^2) - 3x^2 - 3y^2 

=  2(x^2 - xy + y^2) - 3x^2 - 3y^2 

=  2x^2 - 2xy + 2y^2 - 3x^2 - 3y^2

=  -x^2 - 2xy - y^2 

=  -(x + y)^2 

= -1

=> Biểu thức trên không phụ thuộc vào x

b) [(x + 5)^2 + (x - 5)^2] / (x^2 + 25)

=  (x^2 + 10x + 25 + x^2 - 10x + 25) / (x^2 + 25)

=  (2x^2 + 50) / (x^2 + 25)

=  2

 => Biểu thức trên không phụ thuộc vào x 

c) [(2x + 5)^2 + (5x - 2)^2)] / (x^2 + 1)

=   [(2x + 5 + 5x - 2)^2 - 2(2x + 5)(5x - 2)] / (x^2 + 1)

=   [(7x + 3)^2 - 2(10x^2 - 4x + 25x - 10)] / (x^2 + 1)

=   (49x^2 + 42x + 9 - 20x^2 + 8x - 50x + 20) / (x^2 + 1)

=   (29x^2 + 29) / (x^2 + 1)

=   29(x^2 + 1) / (x^2 + 1)

=   29

=> Biểu thức trên phụ thuộc vào x

------------

CHÚC BẠN HỌC TỐT!

Bạn có biết?

Toán học là môn khoa học nghiên cứu về các số, cấu trúc, không gian và các phép biến đổi. Nói một cách khác, người ta cho rằng đó là môn học về "hình và số". Theo quan điểm chính thống neonics, nó là môn học nghiên cứu về các cấu trúc trừu tượng định nghĩa từ các tiên đề, bằng cách sử dụng luận lý học (lôgic) và ký hiệu toán học. Các quan điểm khác của nó được miêu tả trong triết học toán. Do khả năng ứng dụng rộng rãi trong nhiều khoa học, toán học được mệnh danh là "ngôn ngữ của vũ trụ".

Nguồn : Wikipedia - Bách khoa toàn thư

Tâm sự 8

Lớp 8 - Năm thứ ba ở cấp trung học cơ sở, học tập bắt đầu nặng dần, sang năm lại là năm cuối cấp áp lực lớn dần nhưng các em vẫn phải chú ý sức khỏe nhé!

Nguồn : ADMIN :))

Liên hệ hợp tác hoặc quảng cáo: gmail

Điều khoản dịch vụ

Copyright © 2021 HOCTAPSGK