Trang chủ Toán Học Lớp 8 Nhờ mọi người giải giúp em với ạ. Giải chi...

Nhờ mọi người giải giúp em với ạ. Giải chi tiết giúp em với ạ câu hỏi 3384773 - hoctapsgk.com

Câu hỏi :

Nhờ mọi người giải giúp em với ạ. Giải chi tiết giúp em với ạ

image

Lời giải 1 :

Đáp án+Giải thích các bước giải:

 `a) A` xác định khi:

`5x - 10 \ne 0`

`<=> 5x \ne 10`

`<=> x \ne 2`

Vậy `A` xác định khi `x \ne 2`

`b) A = (x^2 - 4x + 4)/(5x - 10)`

`= [(x - 2)^2]/[5(x - 2)]`

`= (x - 2)/5`

`b)` Tại `x = -2018` (thỏa mãn) thay vào `A` ta có:

`A = (-2018 - 2)/5 = -2020/5 = -404`

Vậy tại `x = -2018` thì `A = -404`

Thảo luận

-- Ui cậu giỏi thế
-- mk cùi lắm cậu à Ó^Ò
-- Cậu ưi
-- sao vậy ạ?
-- Mình có đăng 1 câu hỏi tương tự như vậy câu giải giúp mình với ạ

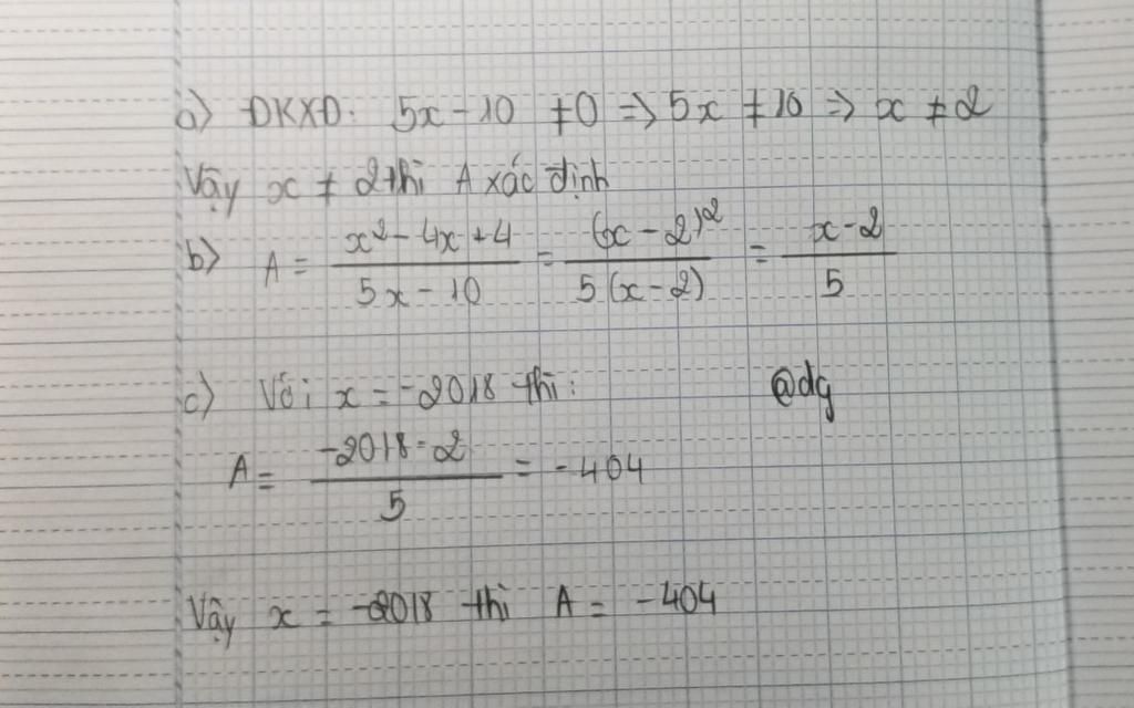
Lời giải 2 :

`text{@dg}`

`text{trình bày trong hình}`

image

Bạn có biết?

Toán học là môn khoa học nghiên cứu về các số, cấu trúc, không gian và các phép biến đổi. Nói một cách khác, người ta cho rằng đó là môn học về "hình và số". Theo quan điểm chính thống neonics, nó là môn học nghiên cứu về các cấu trúc trừu tượng định nghĩa từ các tiên đề, bằng cách sử dụng luận lý học (lôgic) và ký hiệu toán học. Các quan điểm khác của nó được miêu tả trong triết học toán. Do khả năng ứng dụng rộng rãi trong nhiều khoa học, toán học được mệnh danh là "ngôn ngữ của vũ trụ".

Nguồn : Wikipedia - Bách khoa toàn thư

Tâm sự 8

Lớp 8 - Năm thứ ba ở cấp trung học cơ sở, học tập bắt đầu nặng dần, sang năm lại là năm cuối cấp áp lực lớn dần nhưng các em vẫn phải chú ý sức khỏe nhé!

Nguồn : ADMIN :))

Liên hệ hợp tác hoặc quảng cáo: gmail

Điều khoản dịch vụ

Copyright © 2021 HOCTAPSGK