Trang chủ Toán Học Lớp 8 Làm ơn giúp mình với ạ! câu hỏi 444800 -...

Làm ơn giúp mình với ạ! câu hỏi 444800 - hoctapsgk.com

Câu hỏi :

Làm ơn giúp mình với ạ!

image

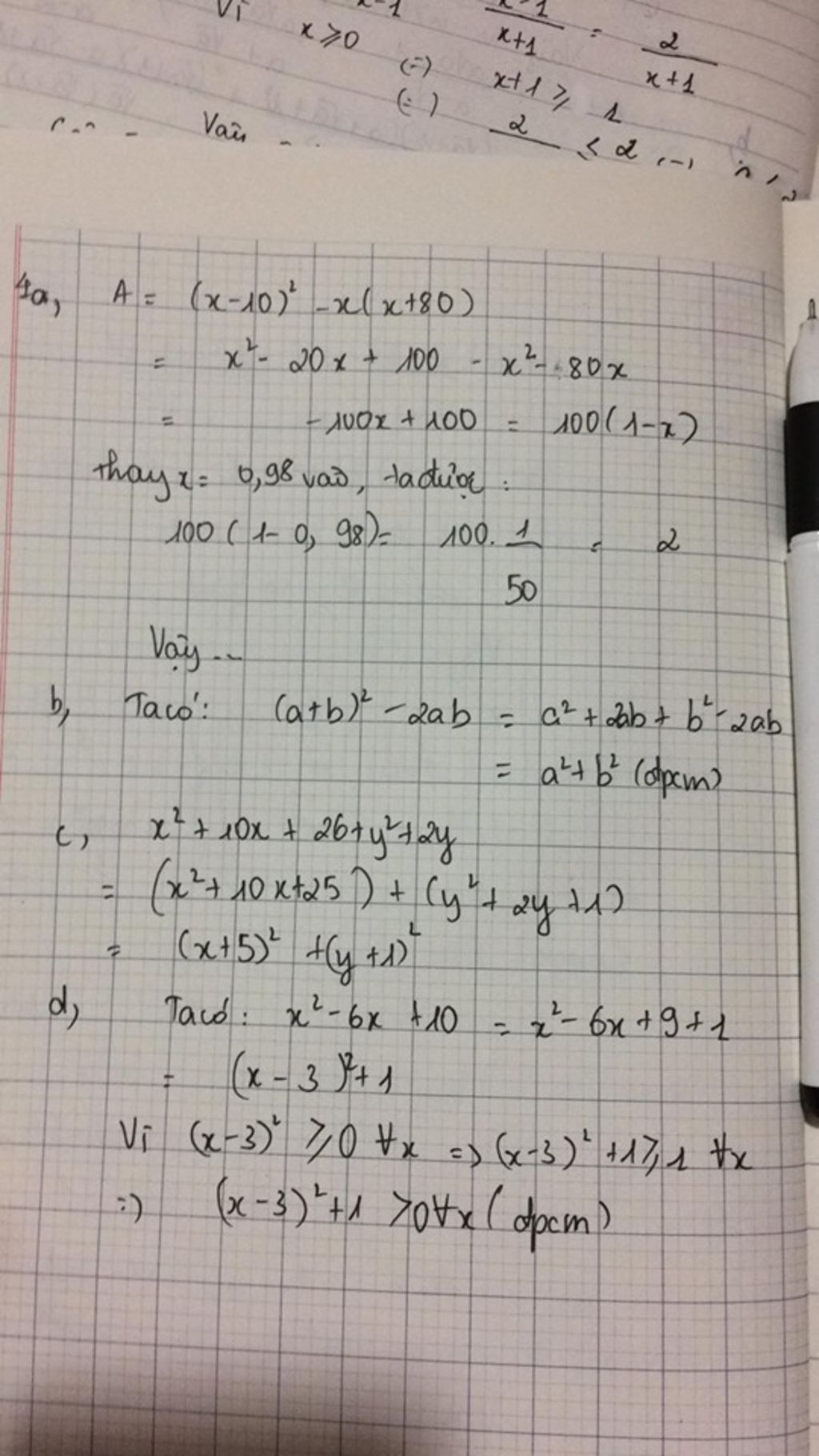
Lời giải 1 :

Đáp án:

bài 1 và 2 đều là những dạng đơn giản nên cậu tự làm nhé

3Theo định lý Pitago trong tam giác vuông AMN có: AM^2+AN^2=MN^2
=> 6^2+8^2=MN^2

=> MN=10CM
mà MN//BC nên theo định lý ta lét ta có: AM/BM=AN/NC
=> 6/4=8/NC

=>NC= 5,33cm
Theo định lý Pitago trong tam giác vuông ABC có BC^2= AB^2+AC^2
<=> BC^2= (4+6)^2+(8+5,33)^2 =>BC=16,67
Từ M,A lần lượt kẻ đường vuông góc xuống BC cắt BC tại H, K
Có AK.BC=AB.AC=

> AK≈ 8cm
Lại có: BM/BA=MH/AK

=>MH= 3,2
Xét tam giác vuông HMB=> HB= 2.4
Tìm được chiều cao rồi dễ dàng tính được diện tích cần tìm theo công thức.

Giải thích các bước giải:

 

image

Thảo luận

Bạn có biết?

Toán học là môn khoa học nghiên cứu về các số, cấu trúc, không gian và các phép biến đổi. Nói một cách khác, người ta cho rằng đó là môn học về "hình và số". Theo quan điểm chính thống neonics, nó là môn học nghiên cứu về các cấu trúc trừu tượng định nghĩa từ các tiên đề, bằng cách sử dụng luận lý học (lôgic) và ký hiệu toán học. Các quan điểm khác của nó được miêu tả trong triết học toán. Do khả năng ứng dụng rộng rãi trong nhiều khoa học, toán học được mệnh danh là "ngôn ngữ của vũ trụ".

Nguồn : Wikipedia - Bách khoa toàn thư

Tâm sự 8

Lớp 8 - Năm thứ ba ở cấp trung học cơ sở, học tập bắt đầu nặng dần, sang năm lại là năm cuối cấp áp lực lớn dần nhưng các em vẫn phải chú ý sức khỏe nhé!

Nguồn : ADMIN :))

Liên hệ hợp tác hoặc quảng cáo: gmail

Điều khoản dịch vụ

Copyright © 2021 HOCTAPSGK