Trang chủ Toán Học Lớp 8 Bài 1: Chứng tỏ rằng các phương trình sau đây...

Bài 1: Chứng tỏ rằng các phương trình sau đây vô nghiệm: a) 2(x + 1) = 3 + 2x b) | x | = –1 c) x2 + 1 = 0 Bài 2:

Câu hỏi :

Bài 1: Chứng tỏ rằng các phương trình sau đây vô nghiệm: a) 2(x + 1) = 3 + 2x b) | x | = –1 c) x2 + 1 = 0 Bài 2: Tìm giá trị của k sao cho: a. Phương trình: 2x + k = x – 1 có nghiệm x = – 2. b. Phương trình: (2x + 1)(9x + 2k) – 5(x + 2) = 40 có nghiệm x = 2 Bài 3: Tìm các giá trị của m, a và b để các cặp phương trình sau đây tương đương: mx2 – (m + 1)x + 1 = 0 và (x – 1)(2x – 1) = 0 Bài 4: Giải các phương trình sau: 1. a) 7x + 12 = 0 b) – 2x + 14 = 0 2. a) 3x + 1 = 7x – 11 b) 2x + x + 12 = 0 c) x – 5 = 3 – x d) 7 – 3x = 9 – x e) 5 – 3x = 6x + 7 f) 11 – 2x = x – 1 g) 15 – 8x = 9 – 5x h) 3 + 2x = 5 + 2 3. a) 5 – (x – 6) = 4(3 – 2x) b) 2x(x + 2)2 – 8x2 = 2(x – 2)(x2 + 2x + 4)

Lời giải 1 :

Đáp án:

 Bạn xem bài bên dưới nha !

Giải thích các bước giải:

 a. 2(x + 1)=3 + 2x

<=> 2x + 1 = 3 + 2x 

<=> 2x - 2x = 3 + 1

<=> 0 = 4 ( vô lí ) 

Phương trình vô nghiệm

b)| x | = -1 ( vô lí vì giá trị tuyệt đối luôn ra dương )

PT vô nghiệm

c)

d. x^2 + 1 = 0 ( vô lí )

Ta có: x^2 lớn hơn hoặc bằng 0 

Suy ra x^2 + 1 lớn hơn hoặc bằng 1 

Nên PT trên vô nghiệm

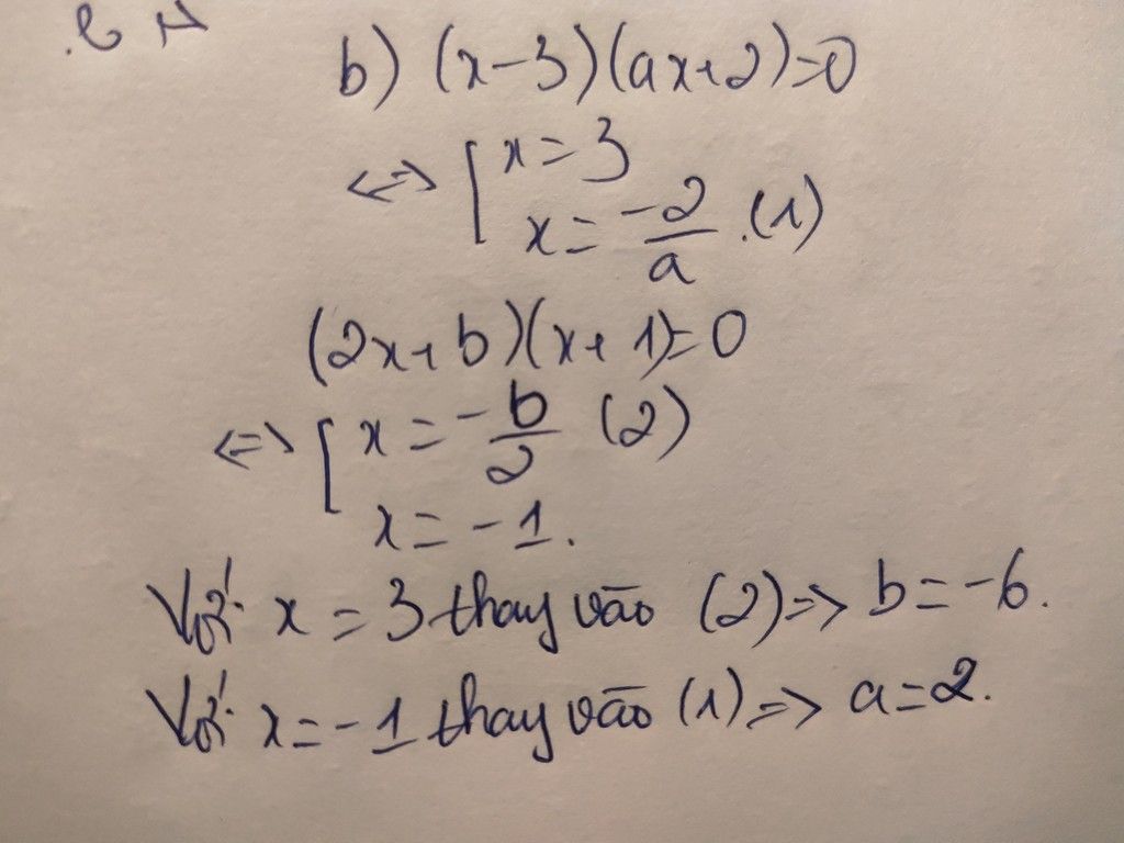
Bài 2 : bạn xem ở ảnh câu a và b mik cx làm nên chụp ch bn luôn nha

Bài 3: bạn xem ảnh

BÀi 4:

1.

a) 7x+12=0

⇔7x= -12

⇔x=-12/7

b) 12-6x=0

⇔6x=12

⇔x=2

c) giống b

d)-2x+14=0

⇔-2x=-14

⇔x=7

2.

a) 3x +1=7x-11

⇔-4x=-12

⇔x=3

b)2x+x+12=0

⇔3x+12=0

⇔3x= -12

⇔x= -4

c).x-5=3-x.

⇔2x=8

⇔x=4

d) 7-3x=9-x

⇔-2x=2

⇔x=-1

e)5-3x=6x+7

⇔-9x=2

⇔x= -2/9

f)11-2x=x-1

⇔-3x= -12

⇔x= 4

g)15-8x=9-5x

⇔ -3x= -6

⇔x=2

h)3+2x=5+2x

⇔0x=2

=> pt vô nghiệm

Chúc bạn học tốt !!!!!!!!!

Cho mik xin 5 vote +trả lơi hn nha !!!!!!!

image
image
image

Thảo luận

Lời giải 2 :

Đáp án:

 

Giải thích các bước giải:

$a) 2(x + 1)=3 + 2x$

$⇔ 2x + 1 = 3 + 2x $

$⇔ 2x - 2x = 3 + 1$

$⇔ 0 = 4$ ( vô lí ) 

⇒ Phương trình vô nghiệm

$b)| x | = -1$ ( vô lí vì giá trị tuyệt đối luôn ra dương )

⇒ Phương trình vô nghiệm

$d) x^2 + 1 = 0$ ( vô lí )

$x^2$ lớn hơn hoặc bằng $0 $

$⇒ x^2 + 1$ lớn hơn hoặc bằng $1 $

⇒  Phương trình trên vô nghiệm

Bạn có biết?

Toán học là môn khoa học nghiên cứu về các số, cấu trúc, không gian và các phép biến đổi. Nói một cách khác, người ta cho rằng đó là môn học về "hình và số". Theo quan điểm chính thống neonics, nó là môn học nghiên cứu về các cấu trúc trừu tượng định nghĩa từ các tiên đề, bằng cách sử dụng luận lý học (lôgic) và ký hiệu toán học. Các quan điểm khác của nó được miêu tả trong triết học toán. Do khả năng ứng dụng rộng rãi trong nhiều khoa học, toán học được mệnh danh là "ngôn ngữ của vũ trụ".

Nguồn : Wikipedia - Bách khoa toàn thư

Tâm sự 8

Lớp 8 - Năm thứ ba ở cấp trung học cơ sở, học tập bắt đầu nặng dần, sang năm lại là năm cuối cấp áp lực lớn dần nhưng các em vẫn phải chú ý sức khỏe nhé!

Nguồn : ADMIN :))

Liên hệ hợp tác hoặc quảng cáo: gmail

Điều khoản dịch vụ

Copyright © 2021 HOCTAPSGK