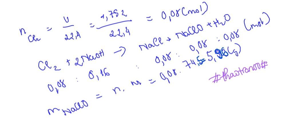
`PTHH: ` `Cl_2` + `2NaOH` `->` `H_2O` + `NaCl` + `NaClO`
`n_{Cl_2}` = $\dfrac{1,792}{22,4}$ = `0,08 (mol)`
Dựa vào PTHH, ta được
`n_{NaClO}` = `n_{Cl_2}` = `0,08(mol)`
`m_{NaClO}` = `0,08 × (23 + 35,5 + 16) = 5,96(gam)`
____ MIK GỬI BẠN NHA ____
Hóa học, một nhánh của khoa học tự nhiên, là ngành nghiên cứu về thành phần, cấu trúc, tính chất, và sự thay đổi của vật chất.Hóa học nói về các nguyên tố, hợp chất, nguyên tử, phân tử, và các phản ứng hóa học xảy ra giữa những thành phần đó.Hóa học đôi khi được gọi là "khoa học trung tâm" vì nó là cầu nối các ngành khoa học tự nhiên khác như vật lý học, địa chất học và sinh học.
Nguồn : Wikipedia - Bách khoa toàn thưLớp 9 - Là năm cuối ở cấp trung học cơ sở, sắp phải bước vào một kì thi căng thẳng và sắp chia tay bạn bè, thầy cô và cả kì vọng của phụ huynh ngày càng lớn mang tên "Lên cấp 3". Thật là áp lực nhưng các em hãy cứ tự tin vào bản thân là sẻ vượt qua nhé!
Nguồn : ADMIN :))Xem thêm tại https://loigiaisgk.com/cau-hoi or https://giaibtsgk.com/cau-hoi
Copyright © 2021 HOCTAPSGK