Trang chủ Hóa Học Lớp 9 Câu 27. Cho 2 gam hỗn hợp gồm Mg và...

Câu 27. Cho 2 gam hỗn hợp gồm Mg và Cu vào dung dịch H2SO4 loãng, dư tới phản ứng hoàn toàn, thu được 0,448 lit khí H2 (đktc) và còn lại m gam chất rắn. Giá tr

Câu hỏi :

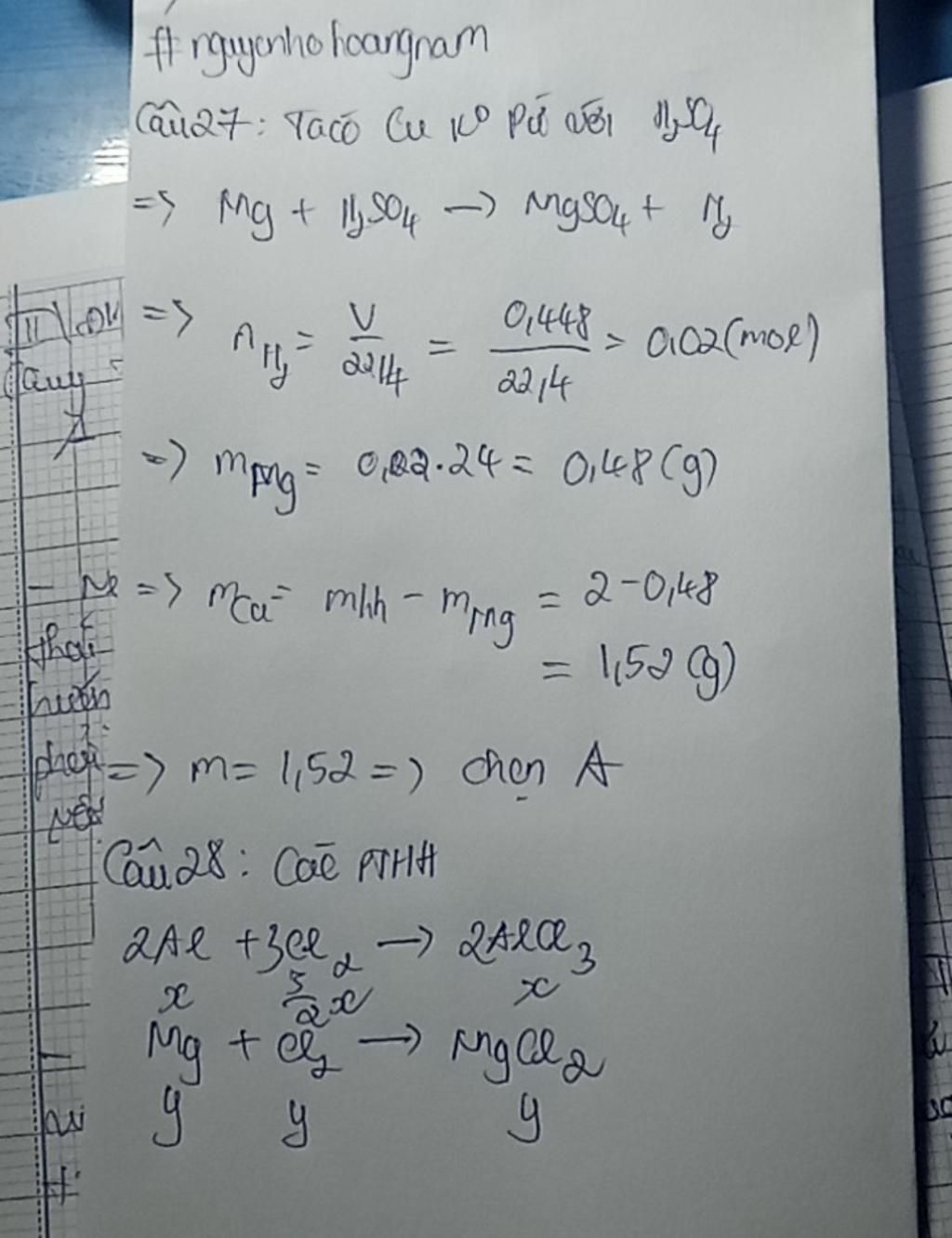
Câu 27. Cho 2 gam hỗn hợp gồm Mg và Cu vào dung dịch H2SO4 loãng, dư tới phản ứng hoàn toàn, thu được 0,448 lit khí H2 (đktc) và còn lại m gam chất rắn. Giá trị của m là A. 1,52. B. 0,48. C. 1,28. D. 0,88. Câu 28. Cho 3,87 gam hỗn hợp Al và Mg tác dụng với khí Cl2 dư, thu được 17,715 gam hỗn hợp muối clorua. Thể tích khí Cl2 (đktc) đã phản ứng là A. 1,344 lít. B.4,368 lít. C. 6,720 lít. D. 0,896 lít. giúp mình giải chi tiết nhé

Lời giải 1 :

Đáp án:

 xin  ctrlhn

Giải thích các bước giải:

image
image

Thảo luận

Bạn có biết?

Hóa học, một nhánh của khoa học tự nhiên, là ngành nghiên cứu về thành phần, cấu trúc, tính chất, và sự thay đổi của vật chất.Hóa học nói về các nguyên tố, hợp chất, nguyên tử, phân tử, và các phản ứng hóa học xảy ra giữa những thành phần đó.Hóa học đôi khi được gọi là "khoa học trung tâm" vì nó là cầu nối các ngành khoa học tự nhiên khác như vật lý học, địa chất học và sinh học.

Nguồn : Wikipedia - Bách khoa toàn thư

Tâm sự 9

Lớp 9 - Là năm cuối ở cấp trung học cơ sở, sắp phải bước vào một kì thi căng thẳng và sắp chia tay bạn bè, thầy cô và cả kì vọng của phụ huynh ngày càng lớn mang tên "Lên cấp 3". Thật là áp lực nhưng các em hãy cứ tự tin vào bản thân là sẻ vượt qua nhé!

Nguồn : ADMIN :))

Liên hệ hợp tác hoặc quảng cáo: gmail

Điều khoản dịch vụ

Copyright © 2021 HOCTAPSGK