Trang chủ Vật Lý Lớp 9 Giúp em 3_4 đánh giá 5 sao Cần gấp câu...

Giúp em 3_4 đánh giá 5 sao Cần gấp câu hỏi 3006396 - hoctapsgk.com

Câu hỏi :

Giúp em 3_4 đánh giá 5 sao Cần gấp

image

Lời giải 1 :

câu 1 : Cường độ dòng điện chạy qua dây dẫn tỉ lệ thuận với hiệu điện thế đặt vào hai đầu dây và tỉ lệ nghịch với điện trở của dây. Hệ thức định luật Ôm: Phát biểu định luật Ôm, trong đó: U là hiệu điện thế, đo bằng vôn (V) I là cường độ dòng điện, đo bằng ampe (A) R là điện trở của dây dẫn, đo bằng Ôm (Ω) Ví dụ: Đặt một hiệu điện thế 24V vào hai đầu bóng đèn có điện trở 12Ω thì cường độ dòng điện chạy qua bóng đèn là Phát biểu định luật ôm
image

Thảo luận

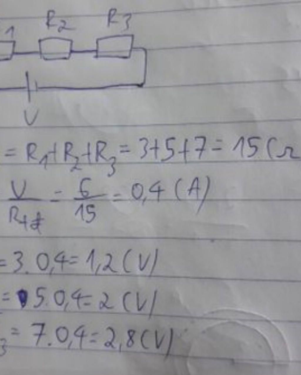
Lời giải 2 :

Đáp án
image

Bạn có biết?

Vật lý học (tiếng Anh:physics, từ tiếng Hi Lạp cổ: φύσις có nghĩa là kiến thức về tự nhiên) là một môn khoa học tự nhiên tập trung vào sự nghiên cứu vật chất và chuyển động của nó trong không gian và thời gian, cùng với những khái niệm liên quan như năng lượng và lực.Vật lí học là một trong những bộ môn khoa học lâu đời nhất, với mục đích tìm hiểu sự vận động của vũ trụ.

Nguồn : Wikipedia - Bách khoa toàn thư

Tâm sự 9

Lớp 9 - Là năm cuối ở cấp trung học cơ sở, sắp phải bước vào một kì thi căng thẳng và sắp chia tay bạn bè, thầy cô và cả kì vọng của phụ huynh ngày càng lớn mang tên "Lên cấp 3". Thật là áp lực nhưng các em hãy cứ tự tin vào bản thân là sẻ vượt qua nhé!

Nguồn : ADMIN :))

Liên hệ hợp tác hoặc quảng cáo: gmail

Điều khoản dịch vụ

Copyright © 2021 HOCTAPSGK