Trang chủ Toán Học Lớp 8 Bài 5:Tính tổng của tất cả các số tự nhiên...

Bài 5:Tính tổng của tất cả các số tự nhiên x, biết x là số có hai chữ số và a) 12<x<91 b) A= {13;14;15;16;....;90} Bài 6: Tính tổng củ

Câu hỏi :

Bài 5:Tính tổng của tất cả các số tự nhiên x, biết x là số có hai chữ số và a) 12<x<91 b) A= {13;14;15;16;....;90} Bài 6: Tính tổng của các số tự nhiên a , biết a có ba chữ số và 119 < a < 501.

Lời giải 1 :

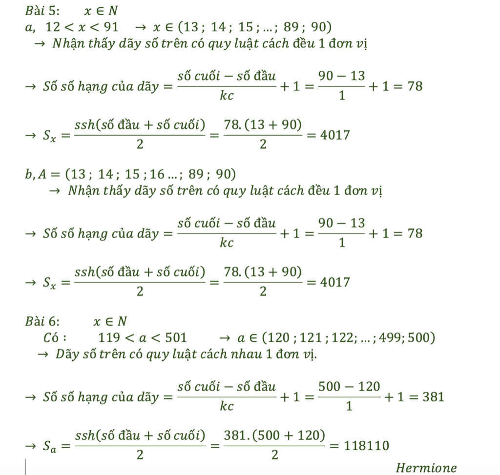
Mình giử bài đây nhé.

Thắc mắc thì liên hệ nhé.

HỌC TỐT !!!!

 

image

Thảo luận

-- ko bik có bị xóa ko nx
-- Thỉnh thoảng bị báo cáo mà chả hiểu tại sao luôn : (
-- thôi, kệ Mod sẽ giữ lại
-- Chắc không đâu. Nếu cảm ơn và đánh sao chắc không sao : )
-- uk, chắc vậy. :))
-- hết bị báo cáo rồi ha. Vui quá
-- May không bị xoá
-- thôi, mik off đây, bye bn nhé

Lời giải 2 :

Đáp án:

 

Giải thích các bước giải:

 Bài 5:

a, 12<x<91

x∈{13;14;15;...;89;90}

Số số hạng của dãy số là:

(90-13):1+1=78( số hạng)

Tổng của tất cả các số tự nhiên x là:

(90+13)x78:2=4017

b, A= {13;14;15;16;....;90}

Số phần tử của tập hợp là:

(90-13):1+1=78( số hạng)

Tổng của tất cả các số tự nhiên x là:

(90+13)x78:2=4017

Bài 6:

119<a<501

a∈{120;121;123;...;499;500}

Số số hạng của dãy số là:

(500-120):1+1=381( số hạng)

Tổng của tất cả các số tự nhiên x là:

(500+120)x381:2=118110

Chúc bạn học tốt!

Bạn có biết?

Toán học là môn khoa học nghiên cứu về các số, cấu trúc, không gian và các phép biến đổi. Nói một cách khác, người ta cho rằng đó là môn học về "hình và số". Theo quan điểm chính thống neonics, nó là môn học nghiên cứu về các cấu trúc trừu tượng định nghĩa từ các tiên đề, bằng cách sử dụng luận lý học (lôgic) và ký hiệu toán học. Các quan điểm khác của nó được miêu tả trong triết học toán. Do khả năng ứng dụng rộng rãi trong nhiều khoa học, toán học được mệnh danh là "ngôn ngữ của vũ trụ".

Nguồn : Wikipedia - Bách khoa toàn thư

Tâm sự 8

Lớp 8 - Năm thứ ba ở cấp trung học cơ sở, học tập bắt đầu nặng dần, sang năm lại là năm cuối cấp áp lực lớn dần nhưng các em vẫn phải chú ý sức khỏe nhé!

Nguồn : ADMIN :))

Liên hệ hợp tác hoặc quảng cáo: gmail

Điều khoản dịch vụ

Copyright © 2021 HOCTAPSGK