Trang chủ Tiếng Việt Lớp 5 Bài 6: Đặt tính rồi tính a. 237,33 : 27...

Bài 6: Đặt tính rồi tính a. 237,33 : 27 b. 819: 26 c. 71,44 :4,7 d. 6:6,25 62,9 : 17 Bài 7: Một thửa ruộng hình chữ nhật có chiều rộng 12,5mvà có diện tích

Câu hỏi :

làm hộ mik ra vở nha cả bài 6 á cho 60 đ lun nha

image

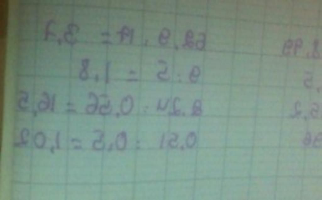
Lời giải 1 :

@$oreki$

Gửi bạn bài làm!

image

Thảo luận

-- Chữ bn đẹp ghê còn trình bày đày đủ nx
-- Cảm ơn tus ạ! Chúc tus học tốt!

Lời giải 2 :

5 sao  + câu trả lời hay nhất nhé

image
image

Bạn có biết?

Tiếng Việt, cũng gọi là tiếng Việt Nam Việt ngữ là ngôn ngữ của người Việt và là ngôn ngữ chính thức tại Việt Nam. Đây là tiếng mẹ đẻ của khoảng 85% dân cư Việt Nam cùng với hơn 4 triệu Việt kiều. Tiếng Việt còn là ngôn ngữ thứ hai của các dân tộc thiểu số tại Việt Nam và là ngôn ngữ dân tộc thiểu số tại Cộng hòa Séc.

Nguồn : Wikipedia - Bách khoa toàn thư

Tâm sự 5

Lớp 5 - Là năm cuối cấp tiểu học, áp lực thi cử nhiều mà sắp phải xa trường lớp, thầy cô, ban bè thân quen. Đây là năm mà các em sẽ gặp nhiều khó khăn nhưng các em đừng lo nhé mọi chuyện sẽ tốt lên thôi !

Nguồn : ADMIN :))

Liên hệ hợp tác hoặc quảng cáo: gmail

Điều khoản dịch vụ

Copyright © 2021 HOCTAPSGK