Trang chủ Toán Học Lớp 8 giải giúp mk với các thiên tài ơi ! Đây...

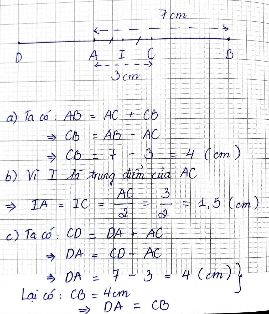
giải giúp mk với các thiên tài ơi ! Đây là toán lớp 6 á ! ^^ Bài 7:Vẽ đoạn thẳng AB dài 7cm. Lấy điểm C nằm giữa A, B sao cho AC = 3cm. a) Tính độ dài đoạn thẳ

Câu hỏi :

giải giúp mk với các thiên tài ơi ! Đây là toán lớp 6 á ! ^^ Bài 7:Vẽ đoạn thẳng AB dài 7cm. Lấy điểm C nằm giữa A, B sao cho AC = 3cm. a) Tính độ dài đoạn thẳng CB. b) Vẽ trung điểm I của Đoạn thẳng AC. Tính IA, IC. c) Trên tia đối của tia CB lấy điểm D sao cho CD = 7cm. So sánh CB và DA?

Lời giải 1 :

Đáp án:

 

Giải thích các bước giải:

 

image

Thảo luận

-- Vote mik nhe🙆
-- cậu ơi có mấy bài hình ! Cậu vẽ hình giúp tớ có đc ko ạ ?
-- Cậu vô trang cá nhân của tớ ý !
-- Ok
-- thực chất mk chỉ hỏi có 3 bài thôi,có 1 số bài mk phải hỏi lại 2-3 lần ! Cậu thông cảm giúp tớ nhé !
-- Ko có j ,tớ vào thấy còn 2 bài,để tớ giúp cho
-- tớ cảm ơn cậu ạ ! Nếu có người thứ 2 làm tớ sẽ cho bn hay nhất nhé !
-- Cj ơi ! Chị có vẽ đẹp không ? Vẽ giúp em mấy nc trong gacha với ạ ! Câu hỏi em để trong trang cá nhân cj nhé !

Lời giải 2 :

Đáp án`+`Giải thích các bước giải:

`->` Em trình bày trong hình ạ ヾ(•ω•`) 

`a)` `CB=4cm`

`b)` `IA=IC=1,5cm`

`c)` `CB=DA`

image

Bạn có biết?

Toán học là môn khoa học nghiên cứu về các số, cấu trúc, không gian và các phép biến đổi. Nói một cách khác, người ta cho rằng đó là môn học về "hình và số". Theo quan điểm chính thống neonics, nó là môn học nghiên cứu về các cấu trúc trừu tượng định nghĩa từ các tiên đề, bằng cách sử dụng luận lý học (lôgic) và ký hiệu toán học. Các quan điểm khác của nó được miêu tả trong triết học toán. Do khả năng ứng dụng rộng rãi trong nhiều khoa học, toán học được mệnh danh là "ngôn ngữ của vũ trụ".

Nguồn : Wikipedia - Bách khoa toàn thư

Tâm sự 8

Lớp 8 - Năm thứ ba ở cấp trung học cơ sở, học tập bắt đầu nặng dần, sang năm lại là năm cuối cấp áp lực lớn dần nhưng các em vẫn phải chú ý sức khỏe nhé!

Nguồn : ADMIN :))

Liên hệ hợp tác hoặc quảng cáo: gmail

Điều khoản dịch vụ

Copyright © 2021 HOCTAPSGK