Trang chủ Toán Học Lớp 8 Bài 59 Toán 8 học kì 1 sách giáo khoa...

Bài 59 Toán 8 học kì 1 sách giáo khoa trang 59 câu hỏi 56575 - hoctapsgk.com

Câu hỏi :

Bài 59 Toán 8 học kì 1 sách giáo khoa trang 59

Lời giải 1 :

Đáp án:

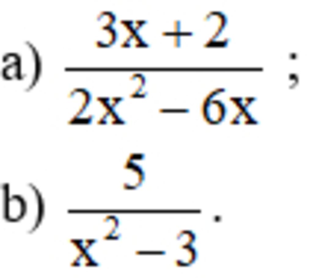
a) Phân thức Giải bài 54 trang 59 Toán 8 Tập 1 | Giải bài tập Toán 8 xác định

⇔ 2x2 – 6x ≠ 0

⇔ 2x(x – 3) ≠ 0

⇔ x ≠ 0 và x – 3 ≠ 0

⇔ x ≠ 0 và x ≠ 3.

Vậy phân thức trên xác định với mọi x ≠ 0 và x ≠ 3.

b) Phân thức Giải bài 54 trang 59 Toán 8 Tập 1 | Giải bài tập Toán 8 xác định

⇔ x2 – 3 ≠ 0

⇔ (x - √3)(x + √3) ≠ 0

⇔ x - √3 ≠ 0 và x + √3 ≠ 0

⇔ x ≠ ±√3

Giải thích các bước giải:

Thảo luận

Lời giải 2 :

`a)(3x+2)/(2x²-6x)`
`<=>2x²-6x \ne 0`
`<=>2x.(x-3) \ne 0`
`<=>` $\begin{cases}x \ne 0\\x-3 \ne 0\end{cases}$
`<=>` $\begin{cases}x \ne 0\\x \ne 3\end{cases}$
Phân thức `(3x+2)/(2x²-6x)` được xác định với mọi `x \ne 0` và `x \ne 3`
`b)5/(x²-3)`
`<=>x²-3 \ne 0`
`<=>`$(x-\sqrt[]{3}).(x+\sqrt[]{3})=0$
`<=>`$\begin{cases}x-\sqrt[]{3} \ne 0\\x+\sqrt[]{3} \ne 0\end{cases}$
Phân thức `5/(x²-3)` được xác định với mọi $x-\sqrt[]{3} \ne 0$ và $x-\sqrt[]{3} \ne 3$

image

Bạn có biết?

Toán học là môn khoa học nghiên cứu về các số, cấu trúc, không gian và các phép biến đổi. Nói một cách khác, người ta cho rằng đó là môn học về "hình và số". Theo quan điểm chính thống neonics, nó là môn học nghiên cứu về các cấu trúc trừu tượng định nghĩa từ các tiên đề, bằng cách sử dụng luận lý học (lôgic) và ký hiệu toán học. Các quan điểm khác của nó được miêu tả trong triết học toán. Do khả năng ứng dụng rộng rãi trong nhiều khoa học, toán học được mệnh danh là "ngôn ngữ của vũ trụ".

Nguồn : Wikipedia - Bách khoa toàn thư

Tâm sự 8

Lớp 8 - Năm thứ ba ở cấp trung học cơ sở, học tập bắt đầu nặng dần, sang năm lại là năm cuối cấp áp lực lớn dần nhưng các em vẫn phải chú ý sức khỏe nhé!

Nguồn : ADMIN :))

Liên hệ hợp tác hoặc quảng cáo: gmail

Điều khoản dịch vụ

Copyright © 2021 HOCTAPSGK