Trang chủ Toán Học Lớp 12 x+2 Câu 5. Cho hàm số: y (C). Tìm a...

x+2 Câu 5. Cho hàm số: y (C). Tìm a sao cho từ A(0, a) kẻ được hai tiếp tuyến đến (C) nằm ở = x-1 hai phía trục Ox. B. (-2; +0)\{1} C. (-2;+) A. D.

Câu hỏi :

Helppppppppppppppppppppppp

image

Lời giải 1 :

Đáp án: Chọn D

 

Giải thích các bước giải:

 Bạn Tham Khảo Nha

image

Thảo luận

Lời giải 2 :

Đáp án:

 

Giải thích các bước giải:

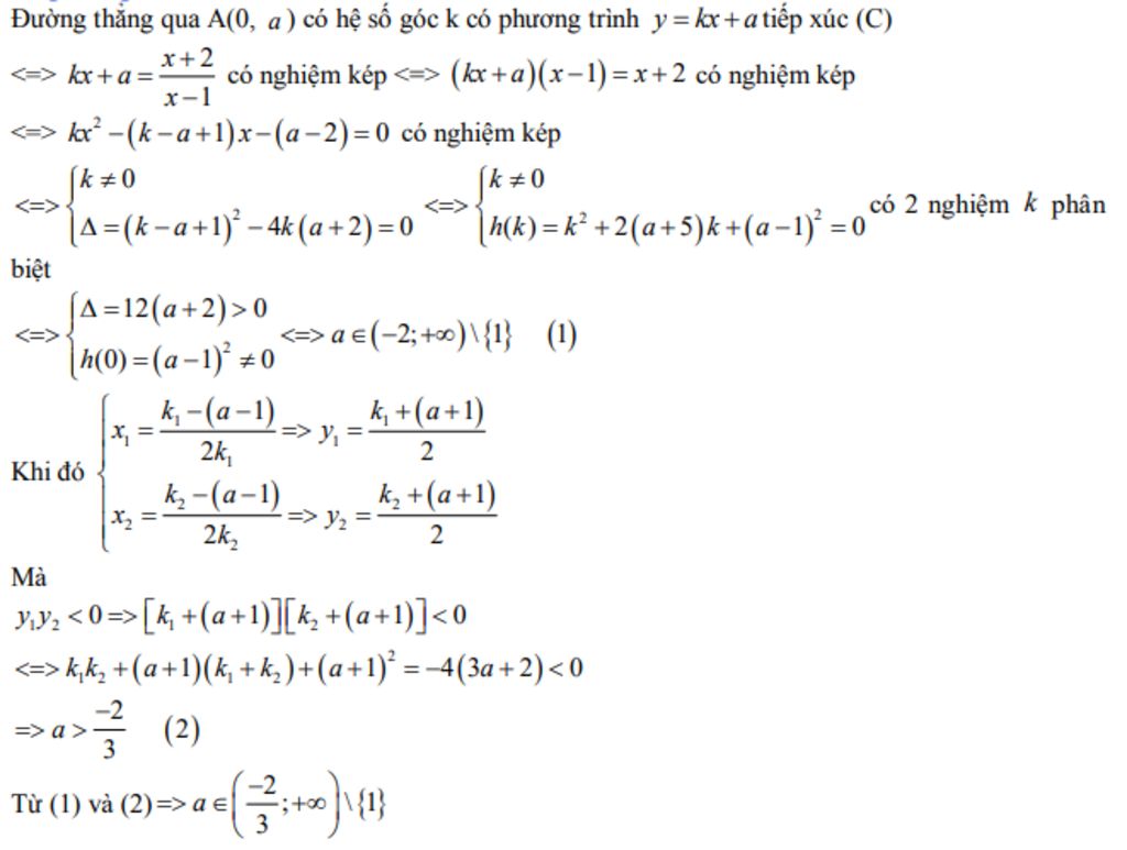
Đường thẳng qua A(0, ) có hệ số góc k có phương trình tiếp xúc (C)
<=> có nghiệm kép <=> có nghiệm kép
<=> có nghiệm kép
có 2 nghiệm phân
biệt
Khi đó

Từ (1) và (2)
Chọn đáp án D.
Câu 6. Hai điểm M, N thuộc hai nhánh của đồ thị . Khi đó độ dài đoạn thẳng MN ngắn nhất
bằng?
A. 8 B. 4 C. D. .
Hướng dẫn giải:
Giả sử , , khi đó M , N với
2
2
5 2 2 4 50 50
0
m
MN m m
m

Bạn có biết?

Toán học là môn khoa học nghiên cứu về các số, cấu trúc, không gian và các phép biến đổi. Nói một cách khác, người ta cho rằng đó là môn học về "hình và số". Theo quan điểm chính thống neonics, nó là môn học nghiên cứu về các cấu trúc trừu tượng định nghĩa từ các tiên đề, bằng cách sử dụng luận lý học (lôgic) và ký hiệu toán học. Các quan điểm khác của nó được miêu tả trong triết học toán. Do khả năng ứng dụng rộng rãi trong nhiều khoa học, toán học được mệnh danh là "ngôn ngữ của vũ trụ".

Nguồn : Wikipedia - Bách khoa toàn thư

Tâm sự 12

Lớp 12 - Năm cuối ở cấp tiểu học, năm học quan trọng nhất trong đời học sinh trải qua bao năm học tập, bao nhiêu kì vọng của người thân xung quanh ta. Những nỗi lo về thi đại học và định hướng tương lai thật là nặng. Hãy tin vào bản thân là mình sẽ làm được rồi tương lai mới chờ đợi các em!

Nguồn : ADMIN :))

Liên hệ hợp tác hoặc quảng cáo: gmail

Điều khoản dịch vụ

Copyright © 2021 HOCTAPSGK