Trang chủ Toán Học Lớp 9 Bị bế tắc ngay khúc này, ai giúp mình giải...

Bị bế tắc ngay khúc này, ai giúp mình giải hay sửa vài chỗ giúp mik đc ko ạ? câu hỏi 2975472 - hoctapsgk.com

Câu hỏi :

Bị bế tắc ngay khúc này, ai giúp mình giải hay sửa vài chỗ giúp mik đc ko ạ?

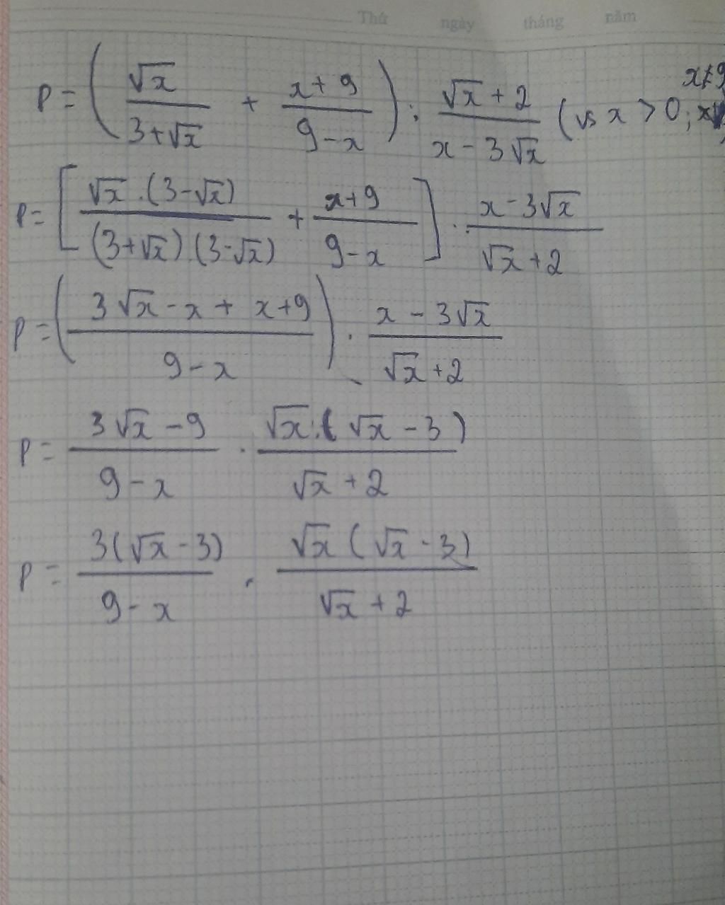
image

Lời giải 1 :

- Bước 1& 2 của bạn đúng rồi nên mình sẽ không làm lại nữa.

- Từ bước 2 xuống bước 3 bạn đã ghi nhầm dấu của số 9 nên mình sẽ làm từ bước 3.

 P = $\dfrac{3\sqrt{x} + 9}{- ( x - 9 )}$. $\dfrac{\sqrt{x}( \sqrt{x} - 3 )}{\sqrt{x} + 2}$ 

= $\dfrac{3( \sqrt{x} + 3 )}{- ( \sqrt{x} - 3 )( \sqrt{x} + 3 )}$. $\dfrac{\sqrt{x}( \sqrt{x} - 3 )}{\sqrt{x} + 2}$ 

= $\dfrac{- 3\sqrt{x} }{\sqrt{x} + 2 }$

image

Thảo luận

-- à mà cái chỗ -( x-9) tại sao để dấu - đằng trước? mik ko hỉu
-- từ đầu là $9 - x$ phải không bn?
-- đúng
-- thì sao?
-- sau đó mk biến đổi 1 chút $ - x + 9 = - ( x - 9 )$ để ra đc $ x - 9 $
-- tại sao phải lm x-9?
-- vì $ x - 9 = ( \sqrt{x} - 3 )( \sqrt{x} + 3 )$ ở trên phần tử có $\sqrt{x}$ $+ 3$ nên mk biến đổi để rút gọn
-- à oke hỉu gòi

Lời giải 2 :

P = ($\frac{\sqrt{x}}{3 + \sqrt{x}}$ + $\frac{x + 9}{9 - x}$) : $\frac{\sqrt{x} + 2}{x - 3\sqrt{x}}$ Đkxđ: x > 0; x $\neq$ 9

   = $\frac{\sqrt{x}.(3 - \sqrt{x}) + (x + 9)}{(3 - \sqrt{x})(3 + \sqrt{x})}$.$\frac{\sqrt{x}.(\sqrt{x} - 3)}{\sqrt{x} + 2}$

   = $\frac{3\sqrt{x} - x + x + 9}{(3 - \sqrt{x})(3 + \sqrt{x})}$.$\frac{\sqrt{x}.(\sqrt{x} - 3)}{\sqrt{x} + 2}$

   = $\frac{3\sqrt{x} + 9}{(3 - \sqrt{x})(3 + \sqrt{x})}$.$\frac{\sqrt{x}.(\sqrt{x} - 3)}{\sqrt{x} + 2}$

   = -$\frac{3.(\sqrt{x} + 3)}{(\sqrt{x} - 3)(\sqrt{x} + 3)}$.$\frac{\sqrt{x}.(\sqrt{x} - 3)}{\sqrt{x} + 2}$

   = $\frac{-3}{\sqrt{x} - 3}$.$\frac{\sqrt{x}.(\sqrt{x} - 3)}{\sqrt{x} + 2}$

   =$\frac{-3\sqrt{x}}{\sqrt{x} + 2}$

Chúc bạn học tốt  

 

Bạn có biết?

Toán học là môn khoa học nghiên cứu về các số, cấu trúc, không gian và các phép biến đổi. Nói một cách khác, người ta cho rằng đó là môn học về "hình và số". Theo quan điểm chính thống neonics, nó là môn học nghiên cứu về các cấu trúc trừu tượng định nghĩa từ các tiên đề, bằng cách sử dụng luận lý học (lôgic) và ký hiệu toán học. Các quan điểm khác của nó được miêu tả trong triết học toán. Do khả năng ứng dụng rộng rãi trong nhiều khoa học, toán học được mệnh danh là "ngôn ngữ của vũ trụ".

Nguồn : Wikipedia - Bách khoa toàn thư

Tâm sự 9

Lớp 9 - Là năm cuối ở cấp trung học cơ sở, sắp phải bước vào một kì thi căng thẳng và sắp chia tay bạn bè, thầy cô và cả kì vọng của phụ huynh ngày càng lớn mang tên "Lên cấp 3". Thật là áp lực nhưng các em hãy cứ tự tin vào bản thân là sẻ vượt qua nhé!

Nguồn : ADMIN :))

Liên hệ hợp tác hoặc quảng cáo: gmail

Điều khoản dịch vụ

Copyright © 2021 HOCTAPSGK