Trang chủ Hóa Học Lớp 9 Đáp án là A nhưng mình kg hiểu tại sao...

Đáp án là A nhưng mình kg hiểu tại sao chọn A. Mong các bạn giải thích rõ. Cám onCâu 10. Trộn 100 ml dung dịch H,SO, 0,1M với 300ml dung dịch NaOH 0,1M. Nhúng

Câu hỏi :

Đáp án là A nhưng mình kg hiểu tại sao chọn A. Mong các bạn giải thích rõ. Cám on

image

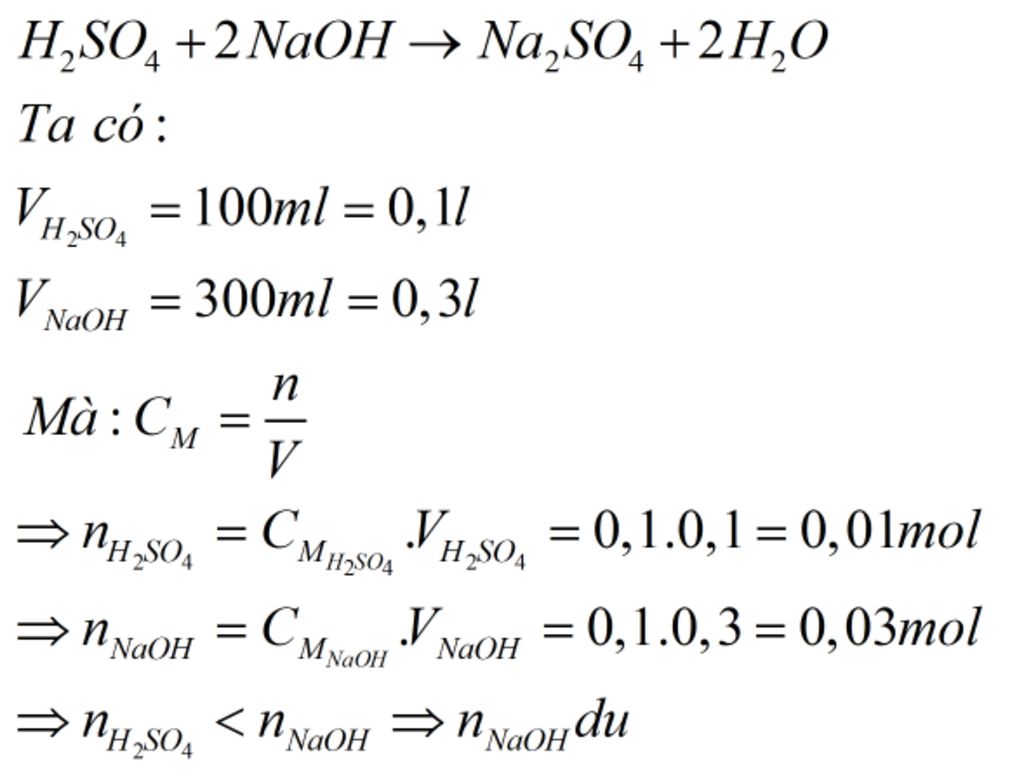
Lời giải 1 :

Đáp án: + Giải thích các bước giải:

Sau khi phản ứng, tạo thành muối $Na_2SO_4$ và $H_2)$, hai chất này không làm quỳ tím đổi màu, nhưng $NaOH$ còn dư, không phản ứng hết với $H_2SO_4$, chính $NaOH$ (bazơ kiềm) còn dư này đã làm quỳ tím hóa xanh.

(Trong hình: du=dư)

image

Thảo luận

Lời giải 2 :

Bạn tham khảo!

Đáp án:

 $\text{A) Quỳ tím chuyển sang màu xanh}$

Giải thích các bước giải:

 PTHH: $\text{2NaOH+H2SO4$\rightarrow$Na2SO4+2H2O}$

$\text{nH2SO4=CM.V=0,1.0,1=0,01 mol}$

$\text{nNaOH=CM.V=0,1.0,3=0,03 mol}$

$\text{Vì $\frac{0,1}{1}$<$\frac{0,3 }{2}$}$

$\rightarrow$ $\text{H2SO4 hết và NaOH dư}$

Vì $\text{NaOH}$ là $\text{Bazo tan}$ nên làm quỳ hóa $\text{xanh}$

#TRANPHAMGIABAO

Bạn có biết?

Hóa học, một nhánh của khoa học tự nhiên, là ngành nghiên cứu về thành phần, cấu trúc, tính chất, và sự thay đổi của vật chất.Hóa học nói về các nguyên tố, hợp chất, nguyên tử, phân tử, và các phản ứng hóa học xảy ra giữa những thành phần đó.Hóa học đôi khi được gọi là "khoa học trung tâm" vì nó là cầu nối các ngành khoa học tự nhiên khác như vật lý học, địa chất học và sinh học.

Nguồn : Wikipedia - Bách khoa toàn thư

Tâm sự 9

Lớp 9 - Là năm cuối ở cấp trung học cơ sở, sắp phải bước vào một kì thi căng thẳng và sắp chia tay bạn bè, thầy cô và cả kì vọng của phụ huynh ngày càng lớn mang tên "Lên cấp 3". Thật là áp lực nhưng các em hãy cứ tự tin vào bản thân là sẻ vượt qua nhé!

Nguồn : ADMIN :))

Liên hệ hợp tác hoặc quảng cáo: gmail

Điều khoản dịch vụ

Copyright © 2021 HOCTAPSGK