Trang chủ Hóa Học Lớp 8 Tính hóa tr8j của S ttong SO3 và C trong...

Tính hóa tr8j của S ttong SO3 và C trong CO2 câu hỏi 2962363 - hoctapsgk.com

Câu hỏi :

Tính hóa tr8j của S ttong SO3 và C trong CO2

Lời giải 1 :

Hoá trị S trong SO3:

Gọi hoá trị của S là a

Theo quy tắc hoá trị:

a × 1 = 11 × 3

⇒a = VI

Vậy S có hoá trị VI trong hợp chất SO3

Hoá trị C trong CO2:

Theo quy tắc hóa trị thì hóa trị của C trong hợp chất CO2 là:

$\frac{II.2}{1}=IV$

Thảo luận

-- Cảm ơn bạn

Lời giải 2 :

Đáp án: + Giải thích các bước giải:

Theo quy ước: hóa trị của O được gán cho là `II`

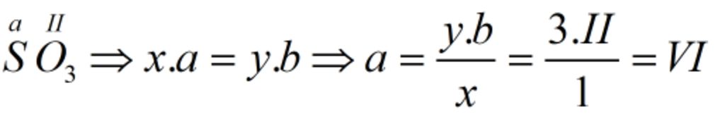
Gọi hóa trị của S là a
Theo quy tắc hóa trị ta có: (Hình 1)
Vậy: Hóa trị của S trong `SO_3` là `VI`

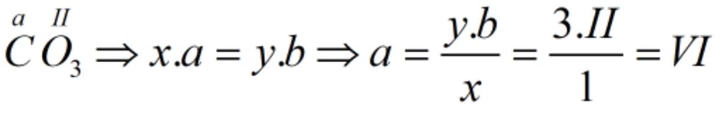
Gọi hóa trị của C là a 
Theo quy tắc hóa trị ta có: (Hình 2)
Vậy: Hóa trị của C trong `CO_3` là `VI`

image
image

Bạn có biết?

Hóa học, một nhánh của khoa học tự nhiên, là ngành nghiên cứu về thành phần, cấu trúc, tính chất, và sự thay đổi của vật chất.Hóa học nói về các nguyên tố, hợp chất, nguyên tử, phân tử, và các phản ứng hóa học xảy ra giữa những thành phần đó.Hóa học đôi khi được gọi là "khoa học trung tâm" vì nó là cầu nối các ngành khoa học tự nhiên khác như vật lý học, địa chất học và sinh học.

Nguồn : Wikipedia - Bách khoa toàn thư

Tâm sự 8

Lớp 8 - Năm thứ ba ở cấp trung học cơ sở, học tập bắt đầu nặng dần, sang năm lại là năm cuối cấp áp lực lớn dần nhưng các em vẫn phải chú ý sức khỏe nhé!

Nguồn : ADMIN :))

Liên hệ hợp tác hoặc quảng cáo: gmail

Điều khoản dịch vụ

Copyright © 2021 HOCTAPSGK