Trang chủ Vật Lý Lớp 9 Vì 30 20 R1 nt R2 = I1 = I2...

Vì 30 20 R1 nt R2 = I1 = I2 → R1 R2 A 2R1 – 3R2 = 0 (2) %3D -

Câu hỏi :

Chỉ mình cách tính từ dòng 1 xuống dòng 2 cái ạ !

image

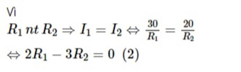
Lời giải 1 :

Bài giải trong hình nhaa

Nếu có gì chưa hiểu bạn cứ hỏi nhé!

Xin ctlhn ạ

image

Thảo luận

-- Trời b giải dễ hiểu quá đi. Cmon nhiều ạ !
-- Vâng ạ Nếu có người khác trả lời thì bạn cho mình ctlhn nhéee <3
-- Okkkkk
-- Thanks ~ ~

Lời giải 2 :

Đáp án:

 $\dfrac{30}{R_1} = \dfrac{20}{R_2} \Rightarrow 30R_2 = 20R_1 \Rightarrow 20R_1 - 30R_2 = 0$ 

Chia hai vế cho 10 ta được: 

   $2R_1 - 3R_2 = 0$ 

Giải thích các bước giải:

 

Bạn có biết?

Vật lý học (tiếng Anh:physics, từ tiếng Hi Lạp cổ: φύσις có nghĩa là kiến thức về tự nhiên) là một môn khoa học tự nhiên tập trung vào sự nghiên cứu vật chất và chuyển động của nó trong không gian và thời gian, cùng với những khái niệm liên quan như năng lượng và lực.Vật lí học là một trong những bộ môn khoa học lâu đời nhất, với mục đích tìm hiểu sự vận động của vũ trụ.

Nguồn : Wikipedia - Bách khoa toàn thư

Tâm sự 9

Lớp 9 - Là năm cuối ở cấp trung học cơ sở, sắp phải bước vào một kì thi căng thẳng và sắp chia tay bạn bè, thầy cô và cả kì vọng của phụ huynh ngày càng lớn mang tên "Lên cấp 3". Thật là áp lực nhưng các em hãy cứ tự tin vào bản thân là sẻ vượt qua nhé!

Nguồn : ADMIN :))

Liên hệ hợp tác hoặc quảng cáo: gmail

Điều khoản dịch vụ

Copyright © 2021 HOCTAPSGK