Trang chủ Hóa Học Lớp 9 Câu này khó nên mong anh chị có thể giúp...

Câu này khó nên mong anh chị có thể giúp đc em câu này ạ em cảm ơn câu hỏi 2925264 - hoctapsgk.com

Câu hỏi :

Câu này khó nên mong anh chị có thể giúp đc em câu này ạ em cảm ơn

image

Lời giải 1 :

Giải thích các bước giải:

$nCO_2=$ `(22,4)/(22,4)` $=0,1mol$

a/.

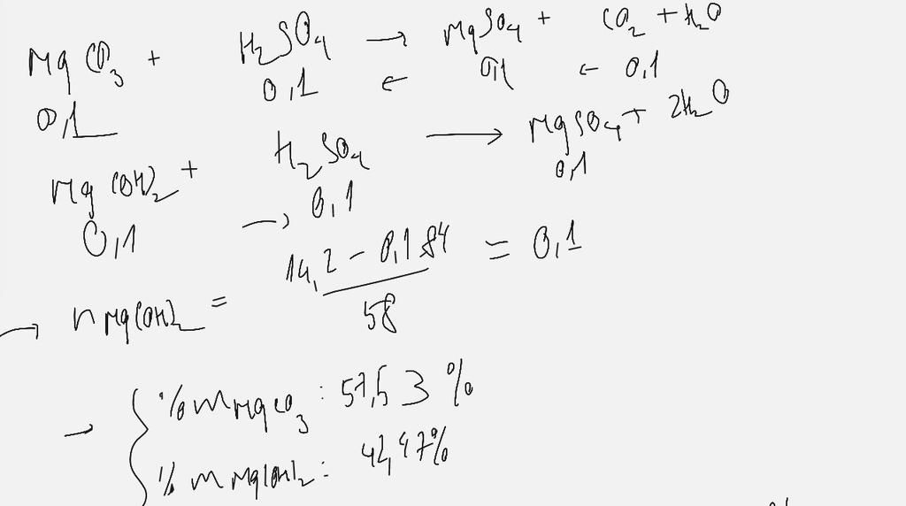
PTHH:

$MgCO_3+H_2SO_4→MgSO_4+CO_2↑+H_2O$           (1)

 0,1                           0,1            0,1         0,1   (mol)

$Mg(OH)_2+H_2SO_4→MgSO_4+2H_2O$                    (2)

0,1                           0,1                 0,1           (mol)

b/.

Theo phương trình, ta có:

$nMgCO_3=nCO_2=0,1mol$

$mMgCO_3=0,1.84=8,4g$

⇒ $mMg(OH)_2=14,2-8,4=5,8g$

%$mMgCO_3=$ `(8,4)/(14,2)` $.100$% $=59,13$%

%$mMg(OH)_2=100$% $-59,13$% $=40,85$%

c/.

Ta có: 

$nH_2SO_4=nH_2SO_4(1)+nH_2SO_4(2)=0,1+0,1=0,2mol$

$mH_2SO_4=0,2.98=19,6g$

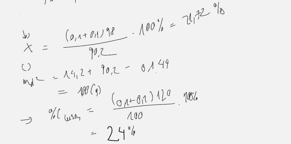
⇒ $X$% $=$ `(19,6)/(90,2)` $.100$% $≈21,73$%

d/.

$nMgSO_4=nMgSO_4(1)+nMgSO_4(2)=0,1+0,1=0,2mol$

$mMgSO_4=0,2.120=24g$

Theo định luật bảo toàn khối lượng, ta có:

     $msauphảnứng=mtrướcphảnứng-mCO_2$

⇔ $msauphảnứng=14,2+90,2-0,1.44$

⇔ $msauphảnứng=100g$

$C$% $(ddMgSO_4)=$ `(24)/(100)` $.100$% $=24$%

 

Thảo luận

-- Chúc bạn học tốt nhé

Lời giải 2 :

Bạn xem hình nhé :DD

image
image

Bạn có biết?

Hóa học, một nhánh của khoa học tự nhiên, là ngành nghiên cứu về thành phần, cấu trúc, tính chất, và sự thay đổi của vật chất.Hóa học nói về các nguyên tố, hợp chất, nguyên tử, phân tử, và các phản ứng hóa học xảy ra giữa những thành phần đó.Hóa học đôi khi được gọi là "khoa học trung tâm" vì nó là cầu nối các ngành khoa học tự nhiên khác như vật lý học, địa chất học và sinh học.

Nguồn : Wikipedia - Bách khoa toàn thư

Tâm sự 9

Lớp 9 - Là năm cuối ở cấp trung học cơ sở, sắp phải bước vào một kì thi căng thẳng và sắp chia tay bạn bè, thầy cô và cả kì vọng của phụ huynh ngày càng lớn mang tên "Lên cấp 3". Thật là áp lực nhưng các em hãy cứ tự tin vào bản thân là sẻ vượt qua nhé!

Nguồn : ADMIN :))

Liên hệ hợp tác hoặc quảng cáo: gmail

Điều khoản dịch vụ

Copyright © 2021 HOCTAPSGK