Trang chủ Toán Học Lớp 4 Chỉ làm toán ko cần làm ở trên . Làm...

Chỉ làm toán ko cần làm ở trên . Làm nhanh nhanh giúp tui nha. câu hỏi 2918665 - hoctapsgk.com

Câu hỏi :

Chỉ làm toán ko cần làm ở trên . Làm nhanh nhanh giúp tui nha.

image

Lời giải 1 :

Đáp án:

 

Giải thích các bước giải:

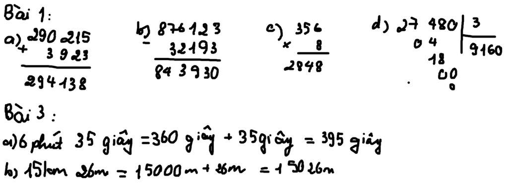
B1: 

a  290 215                b)    876 123                c)  356                d)   27 480| 3

 +     3 923                     -   32 193                   *    8                        0  18      9160

    294 138                          843 930                 2848                             00

                                                                                                                0

B2:

Giải:

Chiều dài hình chữ nhật là:

        (18+4):2=16(m)

Chiều rộng hình chữ nhật là:

          18-16=2 (m)

Diện tích hình chữ nhật là:

           16*2= 32(m2)

                   ĐS : 32m2

B3:

    a)215 giây                        b)15026m

B4:

A)

a) 94+1+99+6                                                       b)46+57+54+43

   (94+6)+ (99+1)                                                      (46+54)+(57+43)

    100+100                                                               100+100

   200                                                                           200 

Thảo luận

Lời giải 2 :

Đáp án+Giải thích các bước giải:

`Bài2` 

Chiều dài khu vườn HCN là :

`(18 + 4)` `:` `2` `=` `11(m)

Chiều rộng khu vườn HCN là :

 `18` `-` `11` `=` `7(m)` 

Diện tích khu vườn HCN là :

`11` `xx` `7` `=` `77` $(m^{2})$ 

Đáp số : `77` $(m^{2})$ 

`Bài4` 

`a)`

$\text{94 + 1 + 99 + 6 = (94 + 6) + (99 + 1) = 100 + 100 = 200}$

 $\text{46 + 57 + 54 + 43 = (46 + 54) + (57 + 43) = 100 + 100 = 200}$

`b)` 

$\text{546 : 6 + 83}$ `xx` `2` `=` $\text{91 + 166 = 257}$ 

$\text{6450 - 4000 : (610 : 5 - 114) = 6450 - 4000 : (122 - 114) = 6450 - 4000 : 8 = 6450 - 500 = 5950}$ 

$#Hoctot$ 

image

Bạn có biết?

Toán học là môn khoa học nghiên cứu về các số, cấu trúc, không gian và các phép biến đổi. Nói một cách khác, người ta cho rằng đó là môn học về "hình và số". Theo quan điểm chính thống neonics, nó là môn học nghiên cứu về các cấu trúc trừu tượng định nghĩa từ các tiên đề, bằng cách sử dụng luận lý học (lôgic) và ký hiệu toán học. Các quan điểm khác của nó được miêu tả trong triết học toán. Do khả năng ứng dụng rộng rãi trong nhiều khoa học, toán học được mệnh danh là "ngôn ngữ của vũ trụ".

Nguồn : Wikipedia - Bách khoa toàn thư

Tâm sự 4

Lớp 4 - Năm thứ bốn ở cấp tiểu học, kiến thức ngày một tăng, sắp đến năm cuối cấp nên các em cần chú đến học tập nhé!

Nguồn : ADMIN :))

Liên hệ hợp tác hoặc quảng cáo: gmail

Điều khoản dịch vụ

Copyright © 2021 HOCTAPSGK