Trang chủ Sinh Học Lớp 8 mn ơi giúp mik vs ạ câu hỏi 2908566 -...

mn ơi giúp mik vs ạ câu hỏi 2908566 - hoctapsgk.com

Câu hỏi :

mn ơi giúp mik vs ạ

image

Lời giải 1 :

Đáp án:

1.

Vai trò của hệ tuần hoàn máu

- Hệ tuần hoàn máu gồm tim và các hệ mạch tạo thành 2 vòng tuần hoàn.

- Vòng tuần hoàn nhỏ: Máu đỏ thẫm (nhiều CO2) từ tâm thất phải → động mạch phổi → mao mạch phổi (trao đổi khí O2, CO2) hoá máu đỏ tươi → tĩnh mạch phổi àtới tâm nhĩ trái.

=> dẫn máu qua phổi, giúp máu trao đổi O2 và CO2

- Vòng tuần hoàn lớn: Máu đỏ tươi (nhiều O2) từ tâm thất trái → động mạch chủ → mao mạch ở các phần trên và dưới cơ thể (thực hiện trao đổi khí với tế bào) → tĩnh mạch chủ trên và tĩnh mạch chủ dưới à tâm nhĩ phải.

=> dẫn máu qua tất cả các tế bào của cơ thể để thực hiện quá trình trao đổi chất.

2.

* Đặc điểm của bộ xương người thích nghi với dáng đứng thẳng, đi bằng hai chân :

- Xương xọ lớn, xương mặt nhỏ

- Lồng ngực nở sang hai bên

- Cột sống cong bốn chỗ ( thành hai hình chữ S tiếp xúc với nhau, tăng sự đàn hồi, bảo vệ não, đi thẳng đứng )

- Xương chậu nở rộng, xương đùi khỏe

- Xương bàn chân có xương ngón ngắn hình vòm, xương gót lớn phát triển về phía sau ( giúp giữ thăng bằng khi di chuyển bằng hai chân )

 

3.

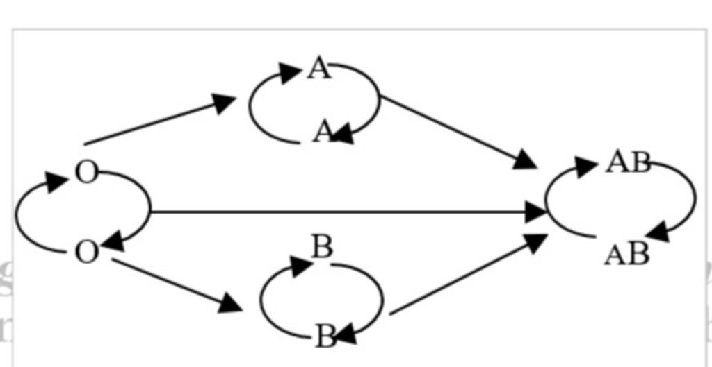
- Có 4 nhóm máu ở người : A, B, O, AB

Sơ đồ truyền máu: Hình ảnh

Em có thể hiến máu cho những người có cùng nhóm máu hoặc mang nhóm máu AB. Em có thể nhận  máu bởi những người có nhóm máu O.

4.

Bạch cầu bảo vệ cơ thể bằng cách tạo ra 3 hàng rào bảo vệ 

- Sự thực cầu: Bạch cầu trung tính và bạch cầu mô nô bắt và nuốt vi khuẩn, vi rút vào trong tế bào rồi tiêu hóa chúng.

- Lim phô B tiết ra kháng thể để vô hiệu hóa kháng nguyên

- Lim phô T phá hủy tế bào cơ thể bị nhiễm vi khuẩn, vi rút

5.

-Phản xạ là phản ứng của cơ thể để trả lời kích thích của môi trường ( trong và ngoài ) dưới sự điều khiển của hệ thần kinh

- Cung phản xạ là con đường mà xung thần kinh truyền từ cơ quan thụ cảm ( da ..) qua trung ương thần kinh đến cơ quan phản ứng ( cơ, tuyến...)

6. 

- Cột sống cong bốn chỗ ( thành hai hình chữ S tiếp xúc với nhau, tăng sự đàn hồi, bảo vệ não, đi thẳng đứng )

- Biện pháp: 

+ Mang vác đều 2 bên

+ Tư thế làm việc, học tập ngồi học ngay ngắn, không nghiêng vẹo

 

 

 

image

Thảo luận

Bạn có biết?

Sinh học hay sinh vật học (tiếng Anh: biology bắt nguồn từ Hy Lạp với bios là sự sống và logos là môn học) là một môn khoa học nghiên cứu về thế giới sinh vật. Nó là một nhánh của khoa học tự nhiên, tập trung nghiên cứu các cá thể sống, mối quan hệ giữa chúng với nhau và với môi trường. Nó miêu tả những đặc điểm và tập tính của sinh vật (ví dụ: cấu trúc, chức năng, sự phát triển, môi trường sống), cách thức các cá thể và loài tồn tại (ví dụ: nguồn gốc, sự tiến hóa và phân bổ của chúng).

Nguồn : Wikipedia - Bách khoa toàn thư

Tâm sự 8

Lớp 8 - Năm thứ ba ở cấp trung học cơ sở, học tập bắt đầu nặng dần, sang năm lại là năm cuối cấp áp lực lớn dần nhưng các em vẫn phải chú ý sức khỏe nhé!

Nguồn : ADMIN :))

Liên hệ hợp tác hoặc quảng cáo: gmail

Điều khoản dịch vụ

Copyright © 2021 HOCTAPSGK