Trang chủ Toán Học Lớp 7 Mọi NGười làm ra các bước giải giúp em ạ...

Mọi NGười làm ra các bước giải giúp em ạ em xin cảm ơn câu hỏi 2904021 - hoctapsgk.com

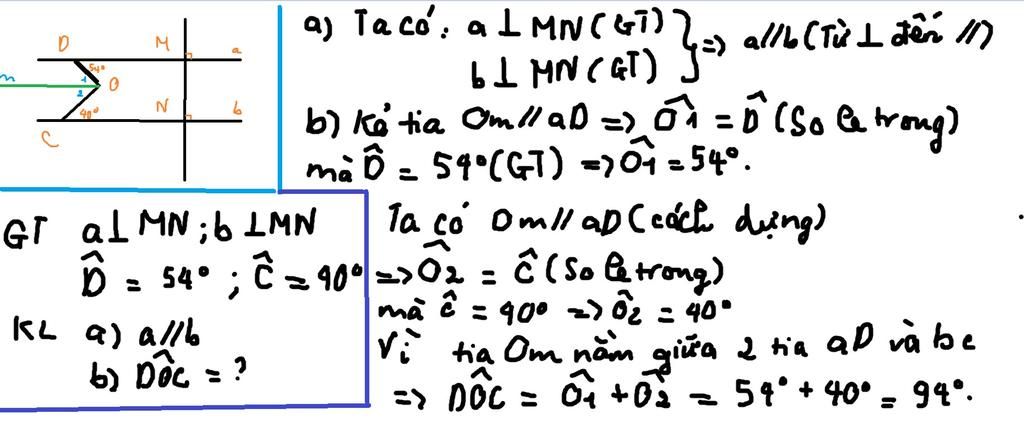
Câu hỏi :

Mọi NGười làm ra các bước giải giúp em ạ em xin cảm ơn

image

Lời giải 1 :

Đáp án:

 a, vì góc M=N=90 mà hai góc ở vị trí đồng vị nên a song song với b

b, (mình gợi ý vì cái này hơi khó giải thich) kẻ 2 đương thẳng một cái đối với OC một cái đối với OD 

vì a song  song với b nên ta suy ra được góc so le trong với góc D cũng bằng 54 sau đó suy ra góc còn lại của tam giác=86 rồi tia đối với cạnh OD tạo thành góc bẹt suy ra góc cần tìm bằng 180-86=94

Giải thích các bước giải:

 ở trên  nhá

Thảo luận

-- rất cảm ơn bạn

Lời giải 2 :

Đáp án+Giải thích các bước giải:

Trong ảnh

$#Hoctot$ 

 

image

Bạn có biết?

Toán học là môn khoa học nghiên cứu về các số, cấu trúc, không gian và các phép biến đổi. Nói một cách khác, người ta cho rằng đó là môn học về "hình và số". Theo quan điểm chính thống neonics, nó là môn học nghiên cứu về các cấu trúc trừu tượng định nghĩa từ các tiên đề, bằng cách sử dụng luận lý học (lôgic) và ký hiệu toán học. Các quan điểm khác của nó được miêu tả trong triết học toán. Do khả năng ứng dụng rộng rãi trong nhiều khoa học, toán học được mệnh danh là "ngôn ngữ của vũ trụ".

Nguồn : Wikipedia - Bách khoa toàn thư

Tâm sự 7

Lớp 7 - Năm thứ hai ở cấp trung học cơ sở, một cuồng quay mới lại đến vẫn bước tiếp trên đường đời học sinh. Học tập vẫn là nhiệm vụ chính!

Nguồn : ADMIN :))

Liên hệ hợp tác hoặc quảng cáo: gmail

Điều khoản dịch vụ

Copyright © 2021 HOCTAPSGK