Trang chủ Toán Học Lớp 7 Bài 11 : Cho hình vẽ biết xx' // yy',...

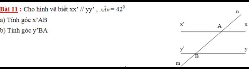
Bài 11 : Cho hình vẽ biết xx' // yy', xân= 42° n a) Tính góc x'AB x' A b) Tính góc y'BA y

Câu hỏi :

Hộ mình với cảm ơn nhá

image

Lời giải 1 :

`a)`

Ta có :

`\hat{x'AB}` và `\hat{xAn}` là `2` góc  đối đỉnh

`=>``\hat{x'AB}` `=` `\hat{xAn}` `= 42^o`

`b)`

Vì xx' `//// yy'` mà `\hat{y'BA}` và `\hat{x'AB}` là `2` trong cùng phía

     `\hat{y'BA} + 42^0 = 180^o`

      `\hat{y'BA} = 180^o - 42^o`

          `\hat{y'BA} = 138^o`

`#caty09`

       

 

Thảo luận

-- mod ơi có thể giữ lại giúp mình câu này được ko ạ (mình để link bên dưới), => https://hoidap247.com/cau-hoi/2896091 mình tưởng giả thích chung ở cuối câu trả lời cũng được nên ko làm rõ ràng, mong mod giữu lại giúp để mình có cơ hội sửa sai ạ!
-- caty09, cho mình xin vào nhóm Stormy Petrels,mình cảm ơn nhiều ạ!
-- https://hoidap247.com/thong-tin-ca-nhan/703786
-- https://hoidap247.com/cau-hoi/2772322 `->` Mở khóa chat dùm e vs
-- câu `a` lập luận song song vào

Lời giải 2 :

Giải thích các bước giải:

Bài 11:

`a,` -Ta có: `\hat{x'AB}` đối đỉnh với `\hat{xAn}`

-Mà `\hat{xAn} = 42^o`

`-> \hat{x'AB} = 42^o`

`b,` -Vì `xxxx' //// yy'` và `\hat{x'AB}` trong cùng phía với `\hat{y'BA}` nên 

`-> \hat{x'AB} + \hat{y'BA} = 180^o`

`-> 42^o + \hat{y'BA} = 180^o`

`-> \hat{y'BA} = 180^o - 42^o = 138^o`

         Vậy `\hat{x'AB} = 42^o; \hat{y'BA} = 138^o`

Bạn có biết?

Toán học là môn khoa học nghiên cứu về các số, cấu trúc, không gian và các phép biến đổi. Nói một cách khác, người ta cho rằng đó là môn học về "hình và số". Theo quan điểm chính thống neonics, nó là môn học nghiên cứu về các cấu trúc trừu tượng định nghĩa từ các tiên đề, bằng cách sử dụng luận lý học (lôgic) và ký hiệu toán học. Các quan điểm khác của nó được miêu tả trong triết học toán. Do khả năng ứng dụng rộng rãi trong nhiều khoa học, toán học được mệnh danh là "ngôn ngữ của vũ trụ".

Nguồn : Wikipedia - Bách khoa toàn thư

Tâm sự 7

Lớp 7 - Năm thứ hai ở cấp trung học cơ sở, một cuồng quay mới lại đến vẫn bước tiếp trên đường đời học sinh. Học tập vẫn là nhiệm vụ chính!

Nguồn : ADMIN :))

Liên hệ hợp tác hoặc quảng cáo: gmail

Điều khoản dịch vụ

Copyright © 2021 HOCTAPSGK