Trang chủ Toán Học Lớp 7 25 -64 - câu hỏi 2880153 - hoctapsgk.com

25 -64 - câu hỏi 2880153 - hoctapsgk.com

Câu hỏi :

Các bạn tính giùm mình bài này với, mình cần gấp ạ

image

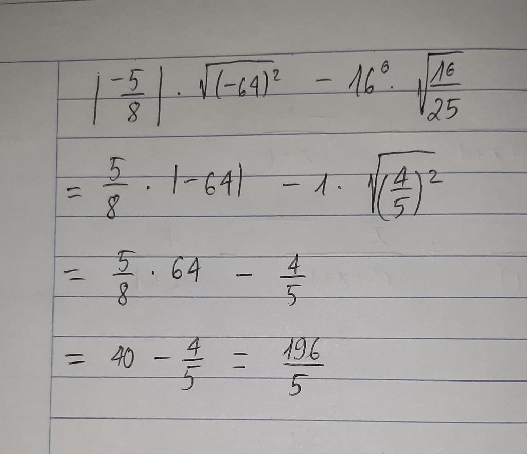
Lời giải 1 :

Đáp án: $ \dfrac{196}{5}$

 

image

Thảo luận

-- Sai chỗ nào vậy bạn?
-- 16 mũ 0 mà
-- Mình thấy bài của bạn này đáp án đúng mà
-- $16^0=1$
-- Đáp án của thầy mình cũng ra bằng 196/5
-- Mình đã check lại bằng máy tính rồi ạ, bạn yên tâm.
-- mình ra 32 mà
-- Là do bạn sai đấy bạn

Lời giải 2 :

#andy

\[\begin{array}{l}
\left| { - \dfrac{5}{8}} \right|.\sqrt {{{\left( { - 64} \right)}^2}}  - {16^0}.\sqrt {\dfrac{{16}}{{25}}} \\
 = \dfrac{5}{8}.\left| { - 64} \right| - 1.\sqrt {\dfrac{{{4^2}}}{{{5^2}}}} \\
 = \dfrac{5}{8}.64 - 1.\sqrt {{{\left( {\frac{4}{5}} \right)}^2}} \\
 = \dfrac{5}{8}.64 - 1.\dfrac{4}{5}\\
 = \dfrac{{320}}{8} - \dfrac{4}{5}\\
 = 40 - \frac{4}{5}\\
 = \dfrac{{40.5}}{5} - \dfrac{4}{5}\\
 = \dfrac{{200}}{5} - \dfrac{4}{5}\\
 = \dfrac{{200 - 4}}{5}\\
 = \dfrac{{196}}{5}
\end{array}\]

Bạn có biết?

Toán học là môn khoa học nghiên cứu về các số, cấu trúc, không gian và các phép biến đổi. Nói một cách khác, người ta cho rằng đó là môn học về "hình và số". Theo quan điểm chính thống neonics, nó là môn học nghiên cứu về các cấu trúc trừu tượng định nghĩa từ các tiên đề, bằng cách sử dụng luận lý học (lôgic) và ký hiệu toán học. Các quan điểm khác của nó được miêu tả trong triết học toán. Do khả năng ứng dụng rộng rãi trong nhiều khoa học, toán học được mệnh danh là "ngôn ngữ của vũ trụ".

Nguồn : Wikipedia - Bách khoa toàn thư

Tâm sự 7

Lớp 7 - Năm thứ hai ở cấp trung học cơ sở, một cuồng quay mới lại đến vẫn bước tiếp trên đường đời học sinh. Học tập vẫn là nhiệm vụ chính!

Nguồn : ADMIN :))

Liên hệ hợp tác hoặc quảng cáo: gmail

Điều khoản dịch vụ

Copyright © 2021 HOCTAPSGK