Trang chủ Toán Học Lớp 7 Bài 8. Cho ba hình chữ nhật, biết diện tích...

Bài 8. Cho ba hình chữ nhật, biết diện tích của hình thứ nhất và diện tích của hình thứ hai ti lệ với 4 và 5, diện tích hình thứ hai và diện tích hình thứ

Câu hỏi :

giúp mình với, mình đang cần gấp

image

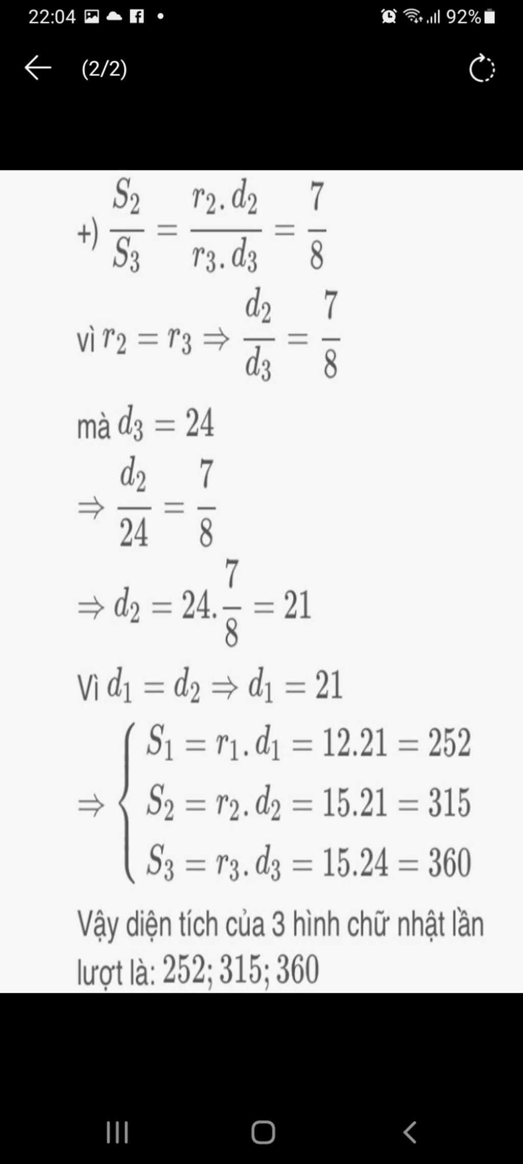
Lời giải 1 :

Đáp án:

 

Giải thích các bước giải:

 

image
image

Thảo luận

-- cho hay nhất coi
-- mk làm cho rồi

Lời giải 2 :

Đáp án:

 

Giải thích các bước giải:

Gọi diện tích ba hình chữ nhật lần lượt là S1, S2 ,S3 , chiều dài, chiều rộng tương ứng d1, r1,d2,r2,d3,r3 là theo đề bài ta có

S1/S2=4/5,S2/S3=7/8 và d1=d2,r1+r2=27,r2=r3,d3=24 

Vì hình thứ nhất và hình thứ hai cùng chiều dài S1/S2=4/5=r1/r2 suy ra r1+r2/4+5=27/9=3

Suy ra chiều rộng  r1=12cm,r2=15cm

Vì hình thứ hai và hình thứ ba cùng chiều rộng

S2/S3=7/8=d2/d3 suy ra d2=7*d3/8

=7*24/8=21cm

Vậy diện tích hình thứ hai S2=d2*r2=21*15=315 cm2

Diện tích hình thứ nhất S1=4/5*S2=4/5*315=252cm2

Diện tích hình thứ ba S3=8/7*S2=8/7*315=360cm2

Bạn có biết?

Toán học là môn khoa học nghiên cứu về các số, cấu trúc, không gian và các phép biến đổi. Nói một cách khác, người ta cho rằng đó là môn học về "hình và số". Theo quan điểm chính thống neonics, nó là môn học nghiên cứu về các cấu trúc trừu tượng định nghĩa từ các tiên đề, bằng cách sử dụng luận lý học (lôgic) và ký hiệu toán học. Các quan điểm khác của nó được miêu tả trong triết học toán. Do khả năng ứng dụng rộng rãi trong nhiều khoa học, toán học được mệnh danh là "ngôn ngữ của vũ trụ".

Nguồn : Wikipedia - Bách khoa toàn thư

Tâm sự 7

Lớp 7 - Năm thứ hai ở cấp trung học cơ sở, một cuồng quay mới lại đến vẫn bước tiếp trên đường đời học sinh. Học tập vẫn là nhiệm vụ chính!

Nguồn : ADMIN :))

Liên hệ hợp tác hoặc quảng cáo: gmail

Điều khoản dịch vụ

Copyright © 2021 HOCTAPSGK