Trang chủ Toán Học Lớp 8 giúp em với ạ 1 câu duy nhất thui hic...

giúp em với ạ 1 câu duy nhất thui hic câu hỏi 2796492 - hoctapsgk.com

Câu hỏi :

giúp em với ạ 1 câu duy nhất thui hic

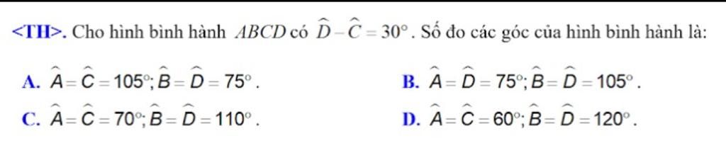
image

Lời giải 1 :

#heli gửi nhé

Đáp án:

 

Giải thích các bước giải:

 ABCD là hình bình hành 

=>^D+^C=180( trong cùng phía)

mà ^D-^C=30

=>^D+^C+^D-^C=180+30

=>2^D=210

=>^D=105

=>^D=^B=105

=>^C=^A=75 

vậy chọn  ko có đáp án đúng

Thảo luận

Lời giải 2 :

~ Bạn tham khảo ~

Xét hình bình hành `ABCD` có :

`AD////BC`

`=> \hat{D}+\hat{C}=180^o`

`=> \hat{D}+\hat{C}-\hat{D}+\hat{C}=180^o-30^o`

`=> 2\hat{C}=150^o`

`=> \hat{C}=75^o`

`=> \hat{A}=75^o` (Tính chất hình bình hành)

`=> \hat{D}=30^o+\hat{C}=30^o+75^o=105^o`

`=> \hat{B}=105^o` (Tính chất hình bình hành)

Vậy chọn đáp án có `\hat{A}=\hat{C}=75^o,\hat{B}=\hat{D}=105^o`

Vì đề không co hoặc đề đánh máy sai đpá án `bbB` nên mik chưa chọn nhé ! 

Bạn có biết?

Toán học là môn khoa học nghiên cứu về các số, cấu trúc, không gian và các phép biến đổi. Nói một cách khác, người ta cho rằng đó là môn học về "hình và số". Theo quan điểm chính thống neonics, nó là môn học nghiên cứu về các cấu trúc trừu tượng định nghĩa từ các tiên đề, bằng cách sử dụng luận lý học (lôgic) và ký hiệu toán học. Các quan điểm khác của nó được miêu tả trong triết học toán. Do khả năng ứng dụng rộng rãi trong nhiều khoa học, toán học được mệnh danh là "ngôn ngữ của vũ trụ".

Nguồn : Wikipedia - Bách khoa toàn thư

Tâm sự 8

Lớp 8 - Năm thứ ba ở cấp trung học cơ sở, học tập bắt đầu nặng dần, sang năm lại là năm cuối cấp áp lực lớn dần nhưng các em vẫn phải chú ý sức khỏe nhé!

Nguồn : ADMIN :))

Liên hệ hợp tác hoặc quảng cáo: gmail

Điều khoản dịch vụ

Copyright © 2021 HOCTAPSGK