Trang chủ Toán Học Lớp 6 Câu a k cần lm ạ, mn chỉ cần lm...

Câu a k cần lm ạ, mn chỉ cần lm 1 câu, gửi mình r lại sửa thêm câu tiếp theo tại mình đang cần rất gấp ạ Nếu lm nhanh thì gửi hết luôn cx đc ạ3*+2 +3* = 10 a/9

Câu hỏi :

Câu a k cần lm ạ, mn chỉ cần lm 1 câu, gửi mình r lại sửa thêm câu tiếp theo tại mình đang cần rất gấp ạ Nếu lm nhanh thì gửi hết luôn cx đc ạ

image

Lời giải 1 :

Đáp án:

 

Giải thích các bước giải:

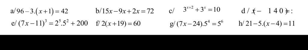
 b,15x-9x+2x=72
6x+2x=72

8x=72

x=72:8

x=9

lm thế này đc ko bn để mình lm các câu sau

Thảo luận

-- ko còn lm dc nữa đâu
-- bn cho bn ấy hay nhất lm soa lm dc tiếp
-- từ từ
-- mình lm trong chat cho
-- Ủa k lm tiếp đc thì bn cmt vào đây cx đc ạ
-- tạo câu mời đi tui lm cho
-- Mình hết điểm r bn
-- ko sao mình lm trong chat cho

Lời giải 2 :

Đáp án:

 x=25

Giải thích các bước giải:

 a96-2.(x+1)=42

⇔96-2x-2=42

⇔-2x=42+2-96

⇔-2x=-50

⇔x=25

xin hay nhất và 5 sao ạ

vậy x=25

Bạn có biết?

Toán học là môn khoa học nghiên cứu về các số, cấu trúc, không gian và các phép biến đổi. Nói một cách khác, người ta cho rằng đó là môn học về "hình và số". Theo quan điểm chính thống neonics, nó là môn học nghiên cứu về các cấu trúc trừu tượng định nghĩa từ các tiên đề, bằng cách sử dụng luận lý học (lôgic) và ký hiệu toán học. Các quan điểm khác của nó được miêu tả trong triết học toán. Do khả năng ứng dụng rộng rãi trong nhiều khoa học, toán học được mệnh danh là "ngôn ngữ của vũ trụ".

Nguồn : Wikipedia - Bách khoa toàn thư

Tâm sự 6

Lớp 6 - Là năm đầu tiên của cấp trung học cơ sở. Được sống lại những khỉ niệm như ngày nào còn lần đầu đến lớp 1, được quen bạn mới, ngôi trường mới, một tương lai mới!

Nguồn : ADMIN :))

Liên hệ hợp tác hoặc quảng cáo: gmail

Điều khoản dịch vụ

Copyright © 2021 HOCTAPSGK