Trang chủ Hóa Học Lớp 8 thy 4) Peo (o: ) NO. Cu (I), SQ CT)...

thy 4) Peo (o: ) NO. Cu (I), SQ CT) - câu hỏi 2779706

Câu hỏi :

Mn làm nhanh vs ạ Cảm ơn trc

image

Lời giải 1 :

Đáp án+Giải thích các bước giải:

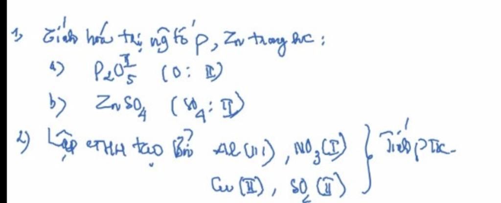
 1,

a, P2O5 ( O: II)

Gọi hóa trị của P là a

Theo quy tắc hóa trị ta có:

a.2= 2.5

a   = 5

Vậy P hóa trị V trong hợp chất

b, ZnSO4 ( SO4: II)

Gọi hóa trị của Zn là a

Theo quy tắc hóa trị ta có:

a.1= 2.1

a   = 2

Vậy Zn hóa trị II trong hợp chất

2,

+Al(III) và NO3(I)

Gọi CTHH của hợp chất là Alx(NO3)y

Theo quy tắc hóa trị ta có:

x.3 = y. 1

$\frac{x}{y}$= $\frac{1}{3}$

⇒x=1, y=3

Vậy CTHH của hợp chất: Al(NO3)3

PTK Al(NO3)3= 27+[( 14 + 16.3) .3]= 27+ 62.3= 27+186= 213 đvC

+ Cu(II) và SO2(II)

Gọi CTHH của hợp chất: Cux(SO4)y

Theo quy tắc hóa trị ta có:

x.2 = y.2

$\frac{x}{y}$= $\frac{2}{2}$= $\frac{1}{1}$

⇒x=1, y=1

Vậy CTHH của hợp chất CuSO2

PTK CuSO4= 64+32+16.4= 64+32+64= 160 đvC

Thảo luận

Lời giải 2 :

Đáp án:

 

Giải thích các bước giải:

1.

a) Gọi hóa trị của `P` là `x` 

Áp dụng quy tắc hóa trị ta có

`x . 2 = II . 5`

`-> x = (II . 5)/2 = V`

Vậy hóa trị của `P` là `V`

b) Gọi hóa trị của `Zn` là `y` 

Áp dụng quy tắc hóa trị ta có

`y . 1 = II . 1`

`-> y = (II . 1)/1 = II`

Vậy hóa trị của `Zn` là `II`

2.

- Đặt CTHH của hợp chất là `Al_x (NO_3)_y`

Áp dụng quy tắc hóa trị ta có

`III . x = I . y`

`-> x/y = (I)/(III) = 1/3`

`=> x = 1, y = 3`

Vậy CTHH của hợp chất là `Al(NO_3)_3`

`PTK_{Al(NO_3)_3} = 27 + 14 . 3 + 16 . 9 = 213 (đvC)`

- Đặt CTHH của hợp chất là `Cu_x (SO_4)_y`

Áp dụng quy tắc hóa trị ta có

`II . x = II . y`

`-> x/y = (II)/(II) = 2/2 = 1/1`

`=> x = 1, y = 1`

Vậy CTHH của hợp chất là `CuSO_4`

`PTK_{CuSO_4} = 64 + 32 + 16 . 4 = 160 (đvC)`

Bạn có biết?

Hóa học, một nhánh của khoa học tự nhiên, là ngành nghiên cứu về thành phần, cấu trúc, tính chất, và sự thay đổi của vật chất.Hóa học nói về các nguyên tố, hợp chất, nguyên tử, phân tử, và các phản ứng hóa học xảy ra giữa những thành phần đó.Hóa học đôi khi được gọi là "khoa học trung tâm" vì nó là cầu nối các ngành khoa học tự nhiên khác như vật lý học, địa chất học và sinh học.

Nguồn : Wikipedia - Bách khoa toàn thư

Tâm sự 8

Lớp 8 - Năm thứ ba ở cấp trung học cơ sở, học tập bắt đầu nặng dần, sang năm lại là năm cuối cấp áp lực lớn dần nhưng các em vẫn phải chú ý sức khỏe nhé!

Nguồn : ADMIN :))

Liên hệ hợp tác hoặc quảng cáo: gmail

Điều khoản dịch vụ

Copyright © 2021 HOCTAPSGK