Trang chủ Hóa Học Lớp 11 um Kilu uuy iHal. KHUI lường cua Fe la: B....

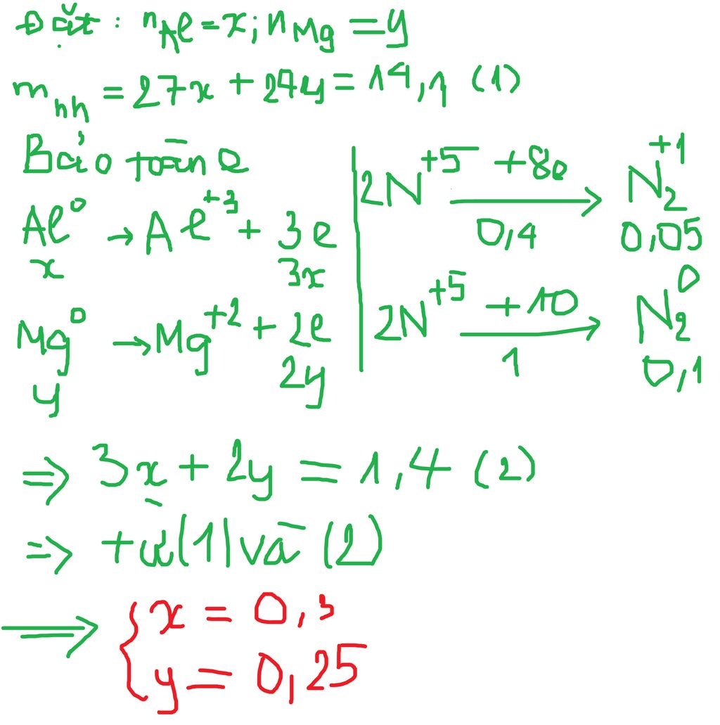
um Kilu uuy iHal. KHUI lường cua Fe la: B. 5,6g C. 16,8g D. 19,2g 1,2g 6: Hòa tan 14,1g hỗn hợp Al và Mg trong dd HNO3 dư thu được 0,05 mol N2O và 0,1 mol

Câu hỏi :

Cho em hỏi câu 86 với ạ

image

Lời giải 1 :

câu này đáp án khối lượng Al là 8,1 nha, lúc viết tớ quên mất... nếu cần giải thích bạn có thể hỏi lại nhé

 

image

Thảo luận

Lời giải 2 :

Đáp án:

 `C`

Giải thích các bước giải:

 `Al(x); Mg(y)`

`27x + 24y = 14,1(1)` 

Bte: 

`3x + 2y = 0,05.  8 + 0,1 . 10(2)`

`(1)(2) →x = 0,3(mol); y = 0,25(mol)`

`m_{Al} = 0,3  .27 = 8,1(g)`

Bạn có biết?

Hóa học, một nhánh của khoa học tự nhiên, là ngành nghiên cứu về thành phần, cấu trúc, tính chất, và sự thay đổi của vật chất.Hóa học nói về các nguyên tố, hợp chất, nguyên tử, phân tử, và các phản ứng hóa học xảy ra giữa những thành phần đó.Hóa học đôi khi được gọi là "khoa học trung tâm" vì nó là cầu nối các ngành khoa học tự nhiên khác như vật lý học, địa chất học và sinh học.

Nguồn : Wikipedia - Bách khoa toàn thư

Tâm sự 11

Lớp 11 - Năm thứ hai ở cấp trung học phổ thông, gần đến năm cuối cấp nên học tập là nhiệm vụ quan trọng nhất. Nghe nhiều đến định hướng sau này rồi học đại học. Ôi nhiều lúc thật là sợ, hoang mang nhưng các em hãy tự tin và tìm dần điều mà mình muốn là trong tương lai nhé!

Nguồn : ADMIN :))

Liên hệ hợp tác hoặc quảng cáo: gmail

Điều khoản dịch vụ

Copyright © 2021 HOCTAPSGK