Trang chủ Hóa Học Lớp 8 Hãy lập CTHH và tính phân tử khối của các...

Hãy lập CTHH và tính phân tử khối của các hợp chất tạo bởi: f. Ca (II) và nhóm NO3 (I) câu hỏi 2745570 - hoctapsgk.com

Câu hỏi :

Hãy lập CTHH và tính phân tử khối của các hợp chất tạo bởi: f. Ca (II) và nhóm NO3 (I)

Lời giải 1 :

Giải thích các bước giải:

Gọi CTHH cần tìm là: `Ca_x(NO_3)_y`

Theo quy tắc hóa trị ,ta có:

`II.x=I.y`

`->x/y=I/{II}`

`->x/y=1/2`

Vậy CTHH là: `Ca(NO_3)_2`

`PTK_{Ca(NO_3)_2}=40+(14+16.3).2=164 đvc`

Thảo luận

-- Ha lo win vui vẻ
-- halo
-- bạn tuss ơi mik quên tính PTK r bạn cho bạn VietVan24h Ctlhn nhé
-- Lúc nãy mik cx sai còn gì
-- :((
-- À bạn đc hn rồi ://

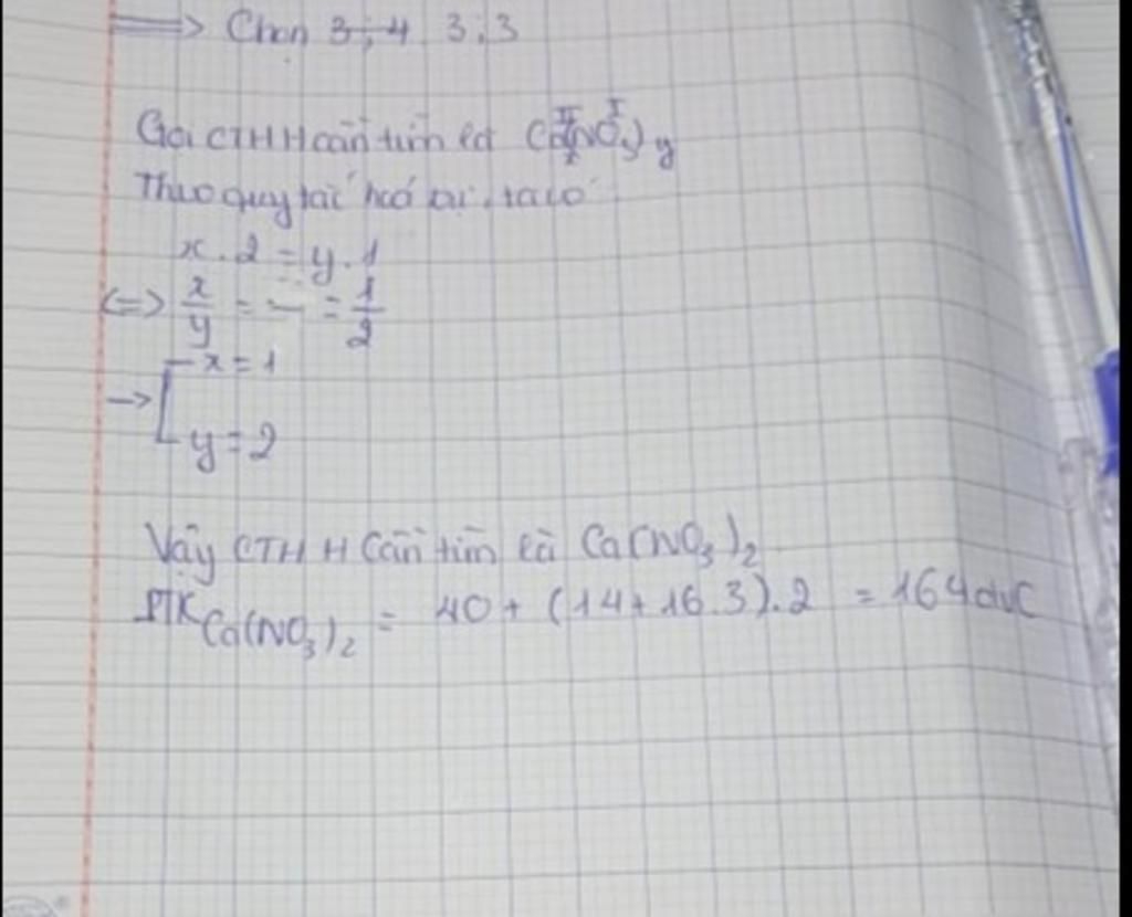
Lời giải 2 :

......................................

 

image

Bạn có biết?

Hóa học, một nhánh của khoa học tự nhiên, là ngành nghiên cứu về thành phần, cấu trúc, tính chất, và sự thay đổi của vật chất.Hóa học nói về các nguyên tố, hợp chất, nguyên tử, phân tử, và các phản ứng hóa học xảy ra giữa những thành phần đó.Hóa học đôi khi được gọi là "khoa học trung tâm" vì nó là cầu nối các ngành khoa học tự nhiên khác như vật lý học, địa chất học và sinh học.

Nguồn : Wikipedia - Bách khoa toàn thư

Tâm sự 8

Lớp 8 - Năm thứ ba ở cấp trung học cơ sở, học tập bắt đầu nặng dần, sang năm lại là năm cuối cấp áp lực lớn dần nhưng các em vẫn phải chú ý sức khỏe nhé!

Nguồn : ADMIN :))

Liên hệ hợp tác hoặc quảng cáo: gmail

Điều khoản dịch vụ

Copyright © 2021 HOCTAPSGK