Trang chủ Toán Học Lớp 10 Cho em hỏi cái hàm số thứ 2 tại sao...

Cho em hỏi cái hàm số thứ 2 tại sao Delta’ lại 0 m>-1 m2-1 1 la' - m>-

Câu hỏi :

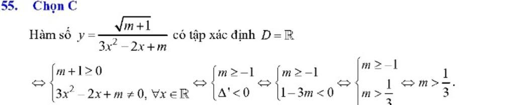
Cho em hỏi cái hàm số thứ 2 tại sao Delta’ lại

image

Lời giải 1 :

Đáp án:

 

Giải thích các bước giải:

 Muốn cái mẫu nó luôn khác 0 thì pt mẫu phải vô nghiệm, hoặc luôn dương hoặc luôn âm.

Nhưng do hệ số a =3 luôn dương rồi nên mẫu chỉ có thể luôn dương thì cần thêm denta < 0 nữa là đủ.

Bài này dùng nhẹ nhàng theo cách lớp 9 cũng đc. Đó là tách hằng đẳng thức.

Thảo luận

-- Luôn dương hay luôn âm thì nó vẫn là vô nghiệm cả, tách ra làm gì.

Bạn có biết?

Toán học là môn khoa học nghiên cứu về các số, cấu trúc, không gian và các phép biến đổi. Nói một cách khác, người ta cho rằng đó là môn học về "hình và số". Theo quan điểm chính thống neonics, nó là môn học nghiên cứu về các cấu trúc trừu tượng định nghĩa từ các tiên đề, bằng cách sử dụng luận lý học (lôgic) và ký hiệu toán học. Các quan điểm khác của nó được miêu tả trong triết học toán. Do khả năng ứng dụng rộng rãi trong nhiều khoa học, toán học được mệnh danh là "ngôn ngữ của vũ trụ".

Nguồn : Wikipedia - Bách khoa toàn thư

Tâm sự 10

Lớp 10 - Năm thứ nhất ở cấp trung học phổ thông, năm đầu tiên nên có nhiều bạn bè mới đến từ những nơi xa hơn vì ngôi trường mới lại mỗi lúc lại xa nhà mình hơn. Được biết bên ngoài kia là một thế giới mới to và nhiều điều thú vị, một trang mới đang chò đợi chúng ta.

Nguồn : ADMIN :))

Liên hệ hợp tác hoặc quảng cáo: gmail

Điều khoản dịch vụ

Copyright © 2021 HOCTAPSGK