Trang chủ Toán Học Lớp 7 Câu 4 (3 điểm) Cho hình vẽ bên: A m...

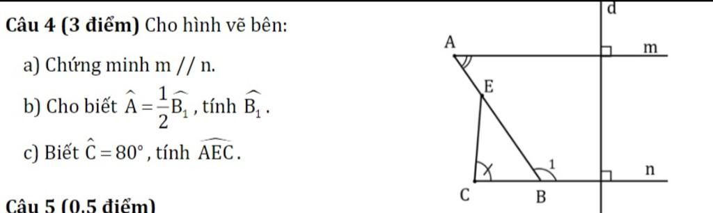
Câu 4 (3 điểm) Cho hình vẽ bên: A m a) Chứng minh m // n. 1 b) Cho biết A =B, , tính B, . c) Biết C= 80°, tính AEC. n C В Câu 5 (0.5 điểm)

Câu hỏi :

Giúp mình câu b nhaaaa

image

Lời giải 1 :

a)Theo định lí:

Nếu có đường thẳng thứ 3 cắt đường thẳng thứ 1 và đường thẳng thứ 2 và vuông góc với thẳng thứ 1 và đường thẳng thứ 2   thì thẳng thứ 1 và đường thẳng thứ 2 song song với nhau

Vì d cắt m; n và vuông góc với m; n nên `m////n`

Hay: `d bot m; d bot n=> m////n`

b) Vì `hat\{A}=1/2 . hat\{B}`

`=>hat\{A}=hat\{B1}/2`

`=>hat\{A}.2=hat\{B}`

Ta có sơ đồ:

`hat\{A}=|-|`

`hat\{B1}=|-|-|`

Tổng số phần bằng nhau:

`1+2=3`

Góc `B1` là:

`180^0 xx2:3=120^0` ( 2 góc trong cùng phía ( góc A và góc B) tổng bằng

`180^0`

Vậy `hat\{B1}=120^0`

c) Vì `hat\{EBC}; hat\{B1}` là 2 góc kề bù nên:

`hat\{EBC}+hat\{B1}=180^0`

`hat\{EBC}+120^0=180^0`

`hat\{EBC}=180^0-120^0=60^0`

Vì `hat\{AEC}; hat\{EBC}` là 2 góc trong cùng phía nên:

`hat\{AEC}+hat\{EBC}=180^0`

`hat\{ACE}+60^0=180^0`

`hat\{ACE}=180^0-60^0`

`hat\{ACE}=120^0`

Vậy `hat\{ACE}=120^0`

Thảo luận

Lời giải 2 :

Gửi bn:
b, Ta có m // n (ở câu a)
→ ∠A + ∠B1 = 180 độ
Mà ∠A = 1/2∠B1
⇒ ∠A = 180 độ : 3 = 60 độ (bài toán tổng tỉ lớp 4)
⇔ ∠B1 = 180 độ - 60 độ = 120 độ

Có j k hiểu thì nói vs mk , xin đừng báo cáo
@ Sun - # Bạn bè là tất cả

Bạn có biết?

Toán học là môn khoa học nghiên cứu về các số, cấu trúc, không gian và các phép biến đổi. Nói một cách khác, người ta cho rằng đó là môn học về "hình và số". Theo quan điểm chính thống neonics, nó là môn học nghiên cứu về các cấu trúc trừu tượng định nghĩa từ các tiên đề, bằng cách sử dụng luận lý học (lôgic) và ký hiệu toán học. Các quan điểm khác của nó được miêu tả trong triết học toán. Do khả năng ứng dụng rộng rãi trong nhiều khoa học, toán học được mệnh danh là "ngôn ngữ của vũ trụ".

Nguồn : Wikipedia - Bách khoa toàn thư

Tâm sự 7

Lớp 7 - Năm thứ hai ở cấp trung học cơ sở, một cuồng quay mới lại đến vẫn bước tiếp trên đường đời học sinh. Học tập vẫn là nhiệm vụ chính!

Nguồn : ADMIN :))

Liên hệ hợp tác hoặc quảng cáo: gmail

Điều khoản dịch vụ

Copyright © 2021 HOCTAPSGK