Trang chủ Hóa Học Lớp 11 Giúp mình làm bài 2, bài 4 với mình đang...

Giúp mình làm bài 2, bài 4 với mình đang cần gấp câu hỏi 2634011 - hoctapsgk.com

Câu hỏi :

Giúp mình làm bài 2, bài 4 với mình đang cần gấp

image

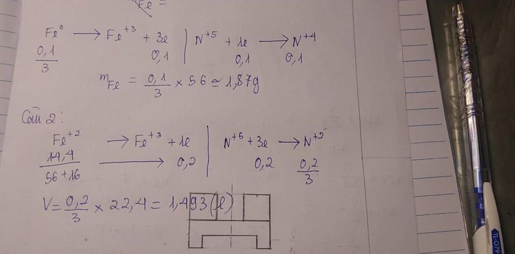
Lời giải 1 :

chúc bn hc tốt vote mk 5* và ctlhn nhé

 

image

Thảo luận

Lời giải 2 :

#andy

\[\begin{array}{l}
2)\\
F{e^{ + 2}}F{e^{ + 3}} + 1e\\
\frac{{14,4}}{{72}}\,\,\,\,\,\,\,\,\,\,\,\,\,\,\,\,\,\,\,\,\,\,\,\,\,\,\,\,\,\,\,0,2\\
\\
{N^{ + 6}} + 3e{N^{ + 2}}\\
\,\,\,\,\,\,\,\,\,\,\,\,\,\,0,2\,\,\,\,\,\,\,\,\,\,\,\,\,\,\,\,\frac{{0,2}}{3}\\
V = \frac{{0,1}}{3} \times 56 = 1,87(g)\\
4)\,F{e^0}F{e^{ + 3}} + 3e\\
\frac{{0,1}}{3}\,\,\,\,\,\,\,\,\,\,\,\,\,\,\,\,\,\,\,\,\,\,\,\,\,\,\,\,\,\,\,\,\,\,0,1\\
\\
{N^{ + 5}} + 1e{N^{ + 4}}\\
\,\,\,\,\,\,\,\,\,\,\,\,\,\,\,0,1\,\,\,\,\,\,\,\,\,\,\,\,\,\,0,1\\
{m_{Fe}} = \frac{{0,1}}{3} \times 56 = 1.87(g)
\end{array}\]

Bạn có biết?

Hóa học, một nhánh của khoa học tự nhiên, là ngành nghiên cứu về thành phần, cấu trúc, tính chất, và sự thay đổi của vật chất.Hóa học nói về các nguyên tố, hợp chất, nguyên tử, phân tử, và các phản ứng hóa học xảy ra giữa những thành phần đó.Hóa học đôi khi được gọi là "khoa học trung tâm" vì nó là cầu nối các ngành khoa học tự nhiên khác như vật lý học, địa chất học và sinh học.

Nguồn : Wikipedia - Bách khoa toàn thư

Tâm sự 11

Lớp 11 - Năm thứ hai ở cấp trung học phổ thông, gần đến năm cuối cấp nên học tập là nhiệm vụ quan trọng nhất. Nghe nhiều đến định hướng sau này rồi học đại học. Ôi nhiều lúc thật là sợ, hoang mang nhưng các em hãy tự tin và tìm dần điều mà mình muốn là trong tương lai nhé!

Nguồn : ADMIN :))

Liên hệ hợp tác hoặc quảng cáo: gmail

Điều khoản dịch vụ

Copyright © 2021 HOCTAPSGK