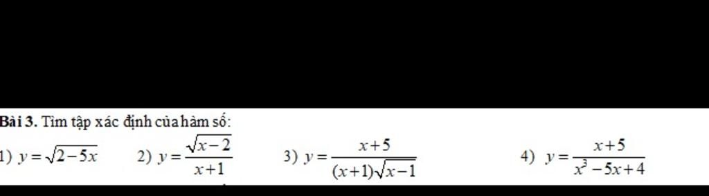
Đáp án:
1 ĐKXĐ
2-5x≥0
<=>x≤2/5
D=(-∞;2/5]
2 ĐKXĐ
x-2≥0
x+1∦0
x≥2
D=[2;+∞)
3 ĐKXĐ
x+1∦0
x-1≥0
<=> x≥1
D=[1;+∞)
4. x³-5x+4∦0
x³+x²-x²-x-4x+4=0
x²(x-1)+x(x-1)-4(x-1)=0
(x-1)(x²+x-4)=0
<=>x=1
x²+x-4=0
<=>x=-1+√17/2
x=-1-√17/2
đểx³-5x+4∦0
x∦-1-√17/2;-1+√17/2;1
=> D=R/{-1-√17/2;-1+√17/2;1}
Giải thích các bước giải:
Toán học là môn khoa học nghiên cứu về các số, cấu trúc, không gian và các phép biến đổi. Nói một cách khác, người ta cho rằng đó là môn học về "hình và số". Theo quan điểm chính thống neonics, nó là môn học nghiên cứu về các cấu trúc trừu tượng định nghĩa từ các tiên đề, bằng cách sử dụng luận lý học (lôgic) và ký hiệu toán học. Các quan điểm khác của nó được miêu tả trong triết học toán. Do khả năng ứng dụng rộng rãi trong nhiều khoa học, toán học được mệnh danh là "ngôn ngữ của vũ trụ".
Nguồn : Wikipedia - Bách khoa toàn thưLớp 10 - Năm thứ nhất ở cấp trung học phổ thông, năm đầu tiên nên có nhiều bạn bè mới đến từ những nơi xa hơn vì ngôi trường mới lại mỗi lúc lại xa nhà mình hơn. Được biết bên ngoài kia là một thế giới mới to và nhiều điều thú vị, một trang mới đang chò đợi chúng ta.
Nguồn : ADMIN :))Xem thêm tại https://loigiaisgk.com/cau-hoi or https://giaibtsgk.com/cau-hoi
Copyright © 2021 HOCTAPSGK