Trang chủ Toán Học Lớp 9 Giúp em với đi mọi người ơi giúp em câu...

Giúp em với đi mọi người ơi giúp em câu hỏi 2603730 - hoctapsgk.com

Câu hỏi :

Giúp em với đi mọi người ơi giúp em

image

Lời giải 1 :

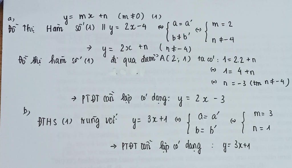
Đáp án+Giải thích các bước giải:

 

image

Thảo luận

-- chị ơi em yêu cầu chị thêm luạt trên bảng xanh cho mọi người bt chứ nhóm mik có mấy người bất ổn quá vd: LMP123 ; gbf2213 ... mấy ngày ko cày r chị chị nên thêm luật nhóm để cho nhóm phát triển hơn
-- Có 1 số bạn bận học mà e , còn tv cũ của nhóm sẽ tự biết 1 tuần ko cày cuối tuần ra đảo chơi nhé 🌝🌚
-- í là chị làm ra cái lluaatj í là kiểu ko đc cái j đó và phải làm cái j đó

Bạn có biết?

Toán học là môn khoa học nghiên cứu về các số, cấu trúc, không gian và các phép biến đổi. Nói một cách khác, người ta cho rằng đó là môn học về "hình và số". Theo quan điểm chính thống neonics, nó là môn học nghiên cứu về các cấu trúc trừu tượng định nghĩa từ các tiên đề, bằng cách sử dụng luận lý học (lôgic) và ký hiệu toán học. Các quan điểm khác của nó được miêu tả trong triết học toán. Do khả năng ứng dụng rộng rãi trong nhiều khoa học, toán học được mệnh danh là "ngôn ngữ của vũ trụ".

Nguồn : Wikipedia - Bách khoa toàn thư

Tâm sự 9

Lớp 9 - Là năm cuối ở cấp trung học cơ sở, sắp phải bước vào một kì thi căng thẳng và sắp chia tay bạn bè, thầy cô và cả kì vọng của phụ huynh ngày càng lớn mang tên "Lên cấp 3". Thật là áp lực nhưng các em hãy cứ tự tin vào bản thân là sẻ vượt qua nhé!

Nguồn : ADMIN :))

Liên hệ hợp tác hoặc quảng cáo: gmail

Điều khoản dịch vụ

Copyright © 2021 HOCTAPSGK