Trang chủ Toán Học Lớp 6 a)Tinh gia tri bieu thuc :P=2a^3-5a^2-4a+10 voi a=-3 b)Tim tat...

a)Tinh gia tri bieu thuc :P=2a^3-5a^2-4a+10 voi a=-3 b)Tim tat ca cac uoc cua -18 CAC BAN LAM HET HO MK NHA MK CAM ON NHIU - câu hỏi 249181

Câu hỏi :

a)Tinh gia tri bieu thuc :P=2a^3-5a^2-4a+10 voi a=-3 b)Tim tat ca cac uoc cua -18 CAC BAN LAM HET HO MK NHA MK CAM ON NHIU

Lời giải 1 :

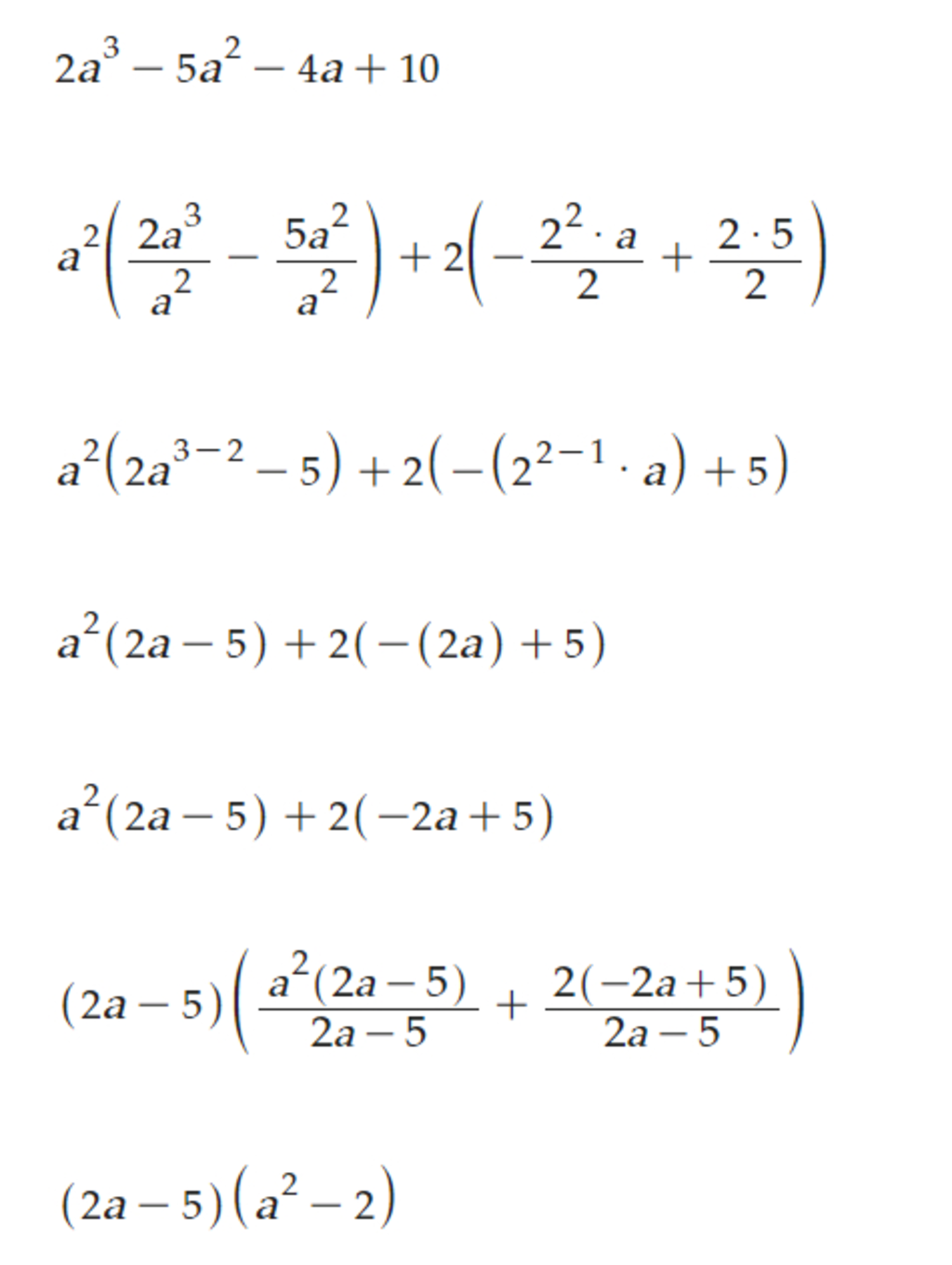
 a) thay vào ta được: -77

b) ước của -18: +-1, +-2. +-3. +-6. +-9. +-18.

Do 18= 2*3^2

Sub kênh mình nha: Azaig

https://www.youtube.com/channel/UCTRZqBKW2JpVaEvCAN8CIVA?sub_confirmation=1

image

Thảo luận

-- BAN LAM RO PHAN A DUOC K VAY
-- Cứ thay số vào thôi @@
-- Phần a mình có chụp thêm cho bạn phần tách thì bạn tách như vậy rồi thay a=-3 nhé. Chúc bạn học giỏi và sub kênh mình nha!
-- Cho mình 5 sao đi
-- mk cam on ban nhiu mk mo kenh ban len ma k tim thay
-- ban cho mk hoi bao nhieu lan bi canh bao se bi khoa tai khoan vay

Lời giải 2 :

` a) ` Làm các bước thay của bạn @azaigisme

Thay ` a = -3 ` vào biểu thức, ta có:

` [2.(-3)-5].[(-3)^2 - 2] `

` = [-6 - 5].[9 - 2] `

` = -11 . 7 `

` = -77 `

` b) ` ` Ư(-18) = { ± 1 ; ± 2 ; ± 3 ; ± 6 ; ± 9 ; ± 18 } `

Bạn có biết?

Toán học là môn khoa học nghiên cứu về các số, cấu trúc, không gian và các phép biến đổi. Nói một cách khác, người ta cho rằng đó là môn học về "hình và số". Theo quan điểm chính thống neonics, nó là môn học nghiên cứu về các cấu trúc trừu tượng định nghĩa từ các tiên đề, bằng cách sử dụng luận lý học (lôgic) và ký hiệu toán học. Các quan điểm khác của nó được miêu tả trong triết học toán. Do khả năng ứng dụng rộng rãi trong nhiều khoa học, toán học được mệnh danh là "ngôn ngữ của vũ trụ".

Nguồn : Wikipedia - Bách khoa toàn thư

Tâm sự 6

Lớp 6 - Là năm đầu tiên của cấp trung học cơ sở. Được sống lại những khỉ niệm như ngày nào còn lần đầu đến lớp 1, được quen bạn mới, ngôi trường mới, một tương lai mới!

Nguồn : ADMIN :))

Liên hệ hợp tác hoặc quảng cáo: gmail

Điều khoản dịch vụ

Copyright © 2021 HOCTAPSGK