Trang chủ Toán Học Lớp 5 Giúp em với,em cần gấp em vote 5sao ạ câu...

Giúp em với,em cần gấp em vote 5sao ạ câu hỏi 2595023 - hoctapsgk.com

Câu hỏi :

Giúp em với,em cần gấp em vote 5sao ạ

image

Lời giải 1 :

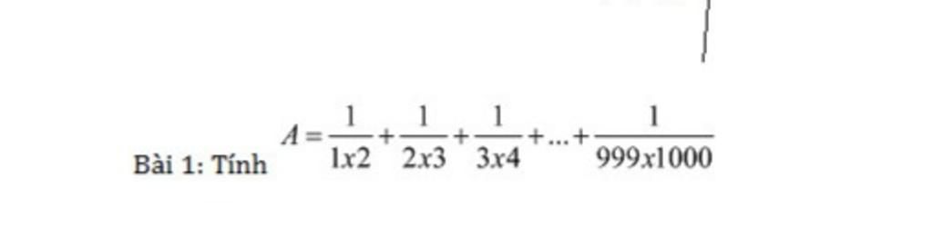
`A = 1/( 1 xx 2) + 1/(2 xx 3) + 1/( 3 xx 4) + .... + 1/( 999 xx 1000)`

`= 1 - 1/2 + 1/2 - 1/3 + 1/3 - 1/4 + .... + 1/999 - 1/1000`

`= 1 - 1/1000`

`= 1000/1000 - 1/1000`

`= 999/1000`

Vậy `A = 999/1000`

`#caty09`

Thảo luận

Lời giải 2 :

Ta thấy :

`1/ 1 xx 2 = 1 - 1/2`

`1/ 2 xx 3 = 1/2 - 1/3`

=> Kết luận : Nếu khi cộng những phân số có dạng như A thì ta tách các phân số ra dưới dạng hiệu của các thừa số với tử là 1

Vậy bài này ta có :

`A = 1 - 1/2 + 1/2 - 1/3 + 1/3 - 1/4 + 1/4 - 1/5 ..........+ 1/999 - 1/1000`

Ta thấy : Các phân số từ 1/2 đến 1/999 dều được lặp lại 2 lần ( 1 lần cộng, 1 lần trừ)

Ta triệt tiêu những số đó đi ta có :

`1 - 1/1000 = 999/ 1000`

Đ/S : `999/ 1000`

#Chúc bạn học tốt

@HươngYang

Bạn có biết?

Toán học là môn khoa học nghiên cứu về các số, cấu trúc, không gian và các phép biến đổi. Nói một cách khác, người ta cho rằng đó là môn học về "hình và số". Theo quan điểm chính thống neonics, nó là môn học nghiên cứu về các cấu trúc trừu tượng định nghĩa từ các tiên đề, bằng cách sử dụng luận lý học (lôgic) và ký hiệu toán học. Các quan điểm khác của nó được miêu tả trong triết học toán. Do khả năng ứng dụng rộng rãi trong nhiều khoa học, toán học được mệnh danh là "ngôn ngữ của vũ trụ".

Nguồn : Wikipedia - Bách khoa toàn thư

Tâm sự 5

Lớp 5 - Là năm cuối cấp tiểu học, áp lực thi cử nhiều mà sắp phải xa trường lớp, thầy cô, ban bè thân quen. Đây là năm mà các em sẽ gặp nhiều khó khăn nhưng các em đừng lo nhé mọi chuyện sẽ tốt lên thôi !

Nguồn : ADMIN :))

Liên hệ hợp tác hoặc quảng cáo: gmail

Điều khoản dịch vụ

Copyright © 2021 HOCTAPSGK