Trang chủ Toán Học Lớp 8 Phân tích đa thức thành nhân tử câu hỏi 2551418...

Phân tích đa thức thành nhân tử câu hỏi 2551418 - hoctapsgk.com

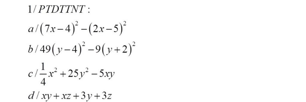
Câu hỏi :

Phân tích đa thức thành nhân tử

image

Lời giải 1 :

`\text{a)} (7x - 4)^2 - (2x - 5)^2`

`= (7x - 4 + 2x - 5) (7x - 4 - 2x + 5)`

`= (9x - 9) (5x + 1)`

`\text{b)} 49 (y - 4)^2 - 9 (y + 2)^2`

`= [7 (y - 4)]^2 - [3 (y + 2)]^2`

`= [7 (y - 4) + 3 (y + 2)] [7 (y - 4) - 3 (y + 2)]`

`= (7y - 28 + 3y + 6) (7y - 28 - 3y - 6)`

`= (10y - 22) (4y - 34)`

`\text{c)} 1/4x^2 + 25y^2 - 5xy`

`= 1/4x^2 - 5xy + 25y^2`

`= (1/2x)^2 - 2. 1/2x. 5y + (5y)^2`

`= (1/2x - 5y)^2`

`\text{d)} xy + xz + 3y + 3z`

`= (xy + 3y) + (xz + 3z)`

`= y (x + 3) + z (x + 3)`

`= (x + 3) (y + z)`

Thảo luận

-- bạn gì ơi vào team mk ko^^
-- đã ns là mik cs nhóm r mak
-- oh sorry nha, mình ko nhớ là đã hỏi bạn😅 tại mình hỏi nhiều ng quá nên ko hớ đã hỏi ai:((

Bạn có biết?

Toán học là môn khoa học nghiên cứu về các số, cấu trúc, không gian và các phép biến đổi. Nói một cách khác, người ta cho rằng đó là môn học về "hình và số". Theo quan điểm chính thống neonics, nó là môn học nghiên cứu về các cấu trúc trừu tượng định nghĩa từ các tiên đề, bằng cách sử dụng luận lý học (lôgic) và ký hiệu toán học. Các quan điểm khác của nó được miêu tả trong triết học toán. Do khả năng ứng dụng rộng rãi trong nhiều khoa học, toán học được mệnh danh là "ngôn ngữ của vũ trụ".

Nguồn : Wikipedia - Bách khoa toàn thư

Tâm sự 8

Lớp 8 - Năm thứ ba ở cấp trung học cơ sở, học tập bắt đầu nặng dần, sang năm lại là năm cuối cấp áp lực lớn dần nhưng các em vẫn phải chú ý sức khỏe nhé!

Nguồn : ADMIN :))

Liên hệ hợp tác hoặc quảng cáo: gmail

Điều khoản dịch vụ

Copyright © 2021 HOCTAPSGK