Trang chủ Toán Học Lớp 8 Cách rút gọn phân thức, cho ví dụ câu hỏi...

Cách rút gọn phân thức, cho ví dụ câu hỏi 2548924 - hoctapsgk.com

Câu hỏi :

Cách rút gọn phân thức, cho ví dụ

Lời giải 1 :

A. Phương pháp giải

- Muốn rút gọn một phân thức ta có thể:

 + Phân tích tử và mẫu thành nhân tử (nếu cần) để tìm nhân tử chung

 + Chia cả tử và mẫu cho nhân tử chung.

- Khi cần có thể đổi dấu ở tử hoặc mẫu để xuất hiện nhân tử chung của tử và mẫu (Sử dụng tính chất A = -(-A)

B. Ví dụ minh họa

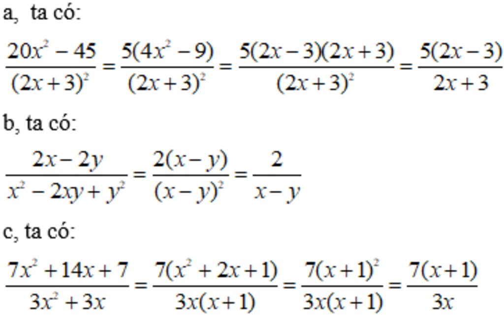
Ví dụ 1: Rút gọn các phân thức sau:

Hướng dẫn giải:

:

 

 

image
image

Thảo luận

Lời giải 2 :

`#laviken#`

Phương pháp :

Bước `1:` Phân tích tử và mẫu thành nhân tử để lấy nhân tử chung.

Bước `2:` Chia cả tử và mẫu cho nhân tử chung 

Ví dụ :

`(4x^2y^3)/(16xy^5)=(4xy^3.x)/(4xy^3.4xy^2)=x/4y^2`

Bạn có biết?

Toán học là môn khoa học nghiên cứu về các số, cấu trúc, không gian và các phép biến đổi. Nói một cách khác, người ta cho rằng đó là môn học về "hình và số". Theo quan điểm chính thống neonics, nó là môn học nghiên cứu về các cấu trúc trừu tượng định nghĩa từ các tiên đề, bằng cách sử dụng luận lý học (lôgic) và ký hiệu toán học. Các quan điểm khác của nó được miêu tả trong triết học toán. Do khả năng ứng dụng rộng rãi trong nhiều khoa học, toán học được mệnh danh là "ngôn ngữ của vũ trụ".

Nguồn : Wikipedia - Bách khoa toàn thư

Tâm sự 8

Lớp 8 - Năm thứ ba ở cấp trung học cơ sở, học tập bắt đầu nặng dần, sang năm lại là năm cuối cấp áp lực lớn dần nhưng các em vẫn phải chú ý sức khỏe nhé!

Nguồn : ADMIN :))

Liên hệ hợp tác hoặc quảng cáo: gmail

Điều khoản dịch vụ

Copyright © 2021 HOCTAPSGK