Trang chủ Toán Học Lớp 7 Bài tập 28: Cho hình vẽ bên với 4, =115°,...

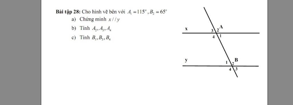
Bài tập 28: Cho hình vẽ bên với 4, =115°, B, = 65° a) Chứng minh x//y b) Tính A,, 4,,4 c) Tính B,,B,, B, 4 y B 4\3

Câu hỏi :

Hãy giúp tôi giải bàu này nha

image

Lời giải 1 :

a ) Vì A1 và B2 là cặp góc trong cùng phía , mà A1 + B2 = 180 độ

=> x // y

b )

Vì A1 và A3 là cặp góc đối đỉnh

=>  A1 = A3 = 115 độ

Vì A2 và A1 là cặp góc kề bù

=> A2  +A1 = 180 độ

=> A2 = 180 độ - A1 = 65 độ

Vì A2 và A4 là cặp góc đối đỉnh

=> A2 = A4 = 65 độ

c )

 Vì x//y , B1 và A3 là cặp góc đồng vị

=> B1 = A3 = 115 độ

Vì B3 và B1 là cặp góc đối đỉnh

=> B3 = B1 = 115 độ

Vì B2 và B4 là cặp góc đối đỉnh

=> B2 = B3 = 65 độ

 

Thảo luận

Lời giải 2 :

`a)` Ta có `: hat{A_1} + hat{B_2} = 115^0 + 65^0 = 180^0`

Mà `2` góc này ở vị trí trong cùng phía

`⇒ x //// y (` Điều phải chứng minh `)`

`b)` Ta có `: hat{A_1} = hat{A_3} = 65^0 ( 2` góc đối đỉnh `)`

                 `hat{B_2} = hat{A_2} = 115^0 ( 2` góc đồng vị do `x //// y` theo phần `a )`

Lại có `: hat{A_2} = hat{A_4} = 115^0 ( 2` góc đối đỉnh `)`

Vậy `; hat{A_3} = 65^0 , hat{A_2} = hat{A_4} = 115^0 .`

`c)` Ta có `: hat{B_2} = hat{B_4} = 115^0 ( 2` góc đối đỉnh `)`

                 `hat{B_1} = hat{A_1} = 65^0 ( 2` góc so le trong do `x //// y` theo phần `a )`

Lại có `: hat{B_1} = hat{B_3} = 65^0 ( 2` góc đối đỉnh `)`

Vậy `; hat{B_1} = hat{B_3} = 65^0 , hat{B_4} = 115^0 .`

Bạn có biết?

Toán học là môn khoa học nghiên cứu về các số, cấu trúc, không gian và các phép biến đổi. Nói một cách khác, người ta cho rằng đó là môn học về "hình và số". Theo quan điểm chính thống neonics, nó là môn học nghiên cứu về các cấu trúc trừu tượng định nghĩa từ các tiên đề, bằng cách sử dụng luận lý học (lôgic) và ký hiệu toán học. Các quan điểm khác của nó được miêu tả trong triết học toán. Do khả năng ứng dụng rộng rãi trong nhiều khoa học, toán học được mệnh danh là "ngôn ngữ của vũ trụ".

Nguồn : Wikipedia - Bách khoa toàn thư

Tâm sự 7

Lớp 7 - Năm thứ hai ở cấp trung học cơ sở, một cuồng quay mới lại đến vẫn bước tiếp trên đường đời học sinh. Học tập vẫn là nhiệm vụ chính!

Nguồn : ADMIN :))

Liên hệ hợp tác hoặc quảng cáo: gmail

Điều khoản dịch vụ

Copyright © 2021 HOCTAPSGK