Trang chủ Toán Học Lớp 8 BÀI KIỂM TRA TUÀN 3 Câu 1: Viết các biểu...

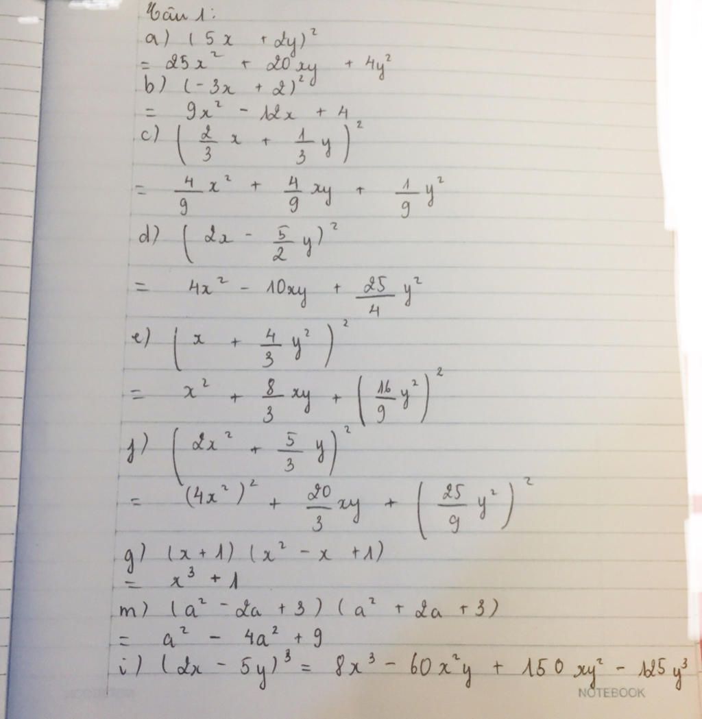
BÀI KIỂM TRA TUÀN 3 Câu 1: Viết các biểu thức sau dưới dạng tổng a.(5x +2y) b.(-3x +2)² -x + g). (x+1)(x² -x+1) h. (x-3yXx² +3xy+9y². m. (a²-2a +3) (a²+2a

Câu hỏi :

Help em với cảm ơn anh chị

image

Lời giải 1 :

Bạn xem ảnh bên dưới để biết đáp án+ lời giải nhé!!

 

image
image

Thảo luận

-- Nhưng bạn còn thiếu 3 câu h,n,k nhé
-- Mình bổ sung thêm câu h,n,k rồi nha tại do mình quên mất á
-- Giờ bạn vote cho mình 5⭐️ đi ạ
-- Xin lỗi bạn! Khi nào on lại bạn có thể gửi yêu cầu vào nhóm ạ!
-- Ko sao đâu bạn
-- Mình gửi yêu cầu vào nhóm rồi đó ạ
-- Nhưng bạn sẽ có thời gian để hoạt động và cũng như trả lời các câu hỏi trên hoidap247 không ạ
-- Có nhưng mà ít hơn so với đợt trước ạ vì vào năm học nên hơi bận

Bạn có biết?

Toán học là môn khoa học nghiên cứu về các số, cấu trúc, không gian và các phép biến đổi. Nói một cách khác, người ta cho rằng đó là môn học về "hình và số". Theo quan điểm chính thống neonics, nó là môn học nghiên cứu về các cấu trúc trừu tượng định nghĩa từ các tiên đề, bằng cách sử dụng luận lý học (lôgic) và ký hiệu toán học. Các quan điểm khác của nó được miêu tả trong triết học toán. Do khả năng ứng dụng rộng rãi trong nhiều khoa học, toán học được mệnh danh là "ngôn ngữ của vũ trụ".

Nguồn : Wikipedia - Bách khoa toàn thư

Tâm sự 8

Lớp 8 - Năm thứ ba ở cấp trung học cơ sở, học tập bắt đầu nặng dần, sang năm lại là năm cuối cấp áp lực lớn dần nhưng các em vẫn phải chú ý sức khỏe nhé!

Nguồn : ADMIN :))

Liên hệ hợp tác hoặc quảng cáo: gmail

Điều khoản dịch vụ

Copyright © 2021 HOCTAPSGK